آخر تحديث :
18/03/2026
مختلف   Baclofen  
المراهم
حقن عن طريق الفم
استقرار المستحضرات الصيدلانية استقرار مخاليط العوامل التي تؤثر على الاستقرار التوافق مراجع pdf
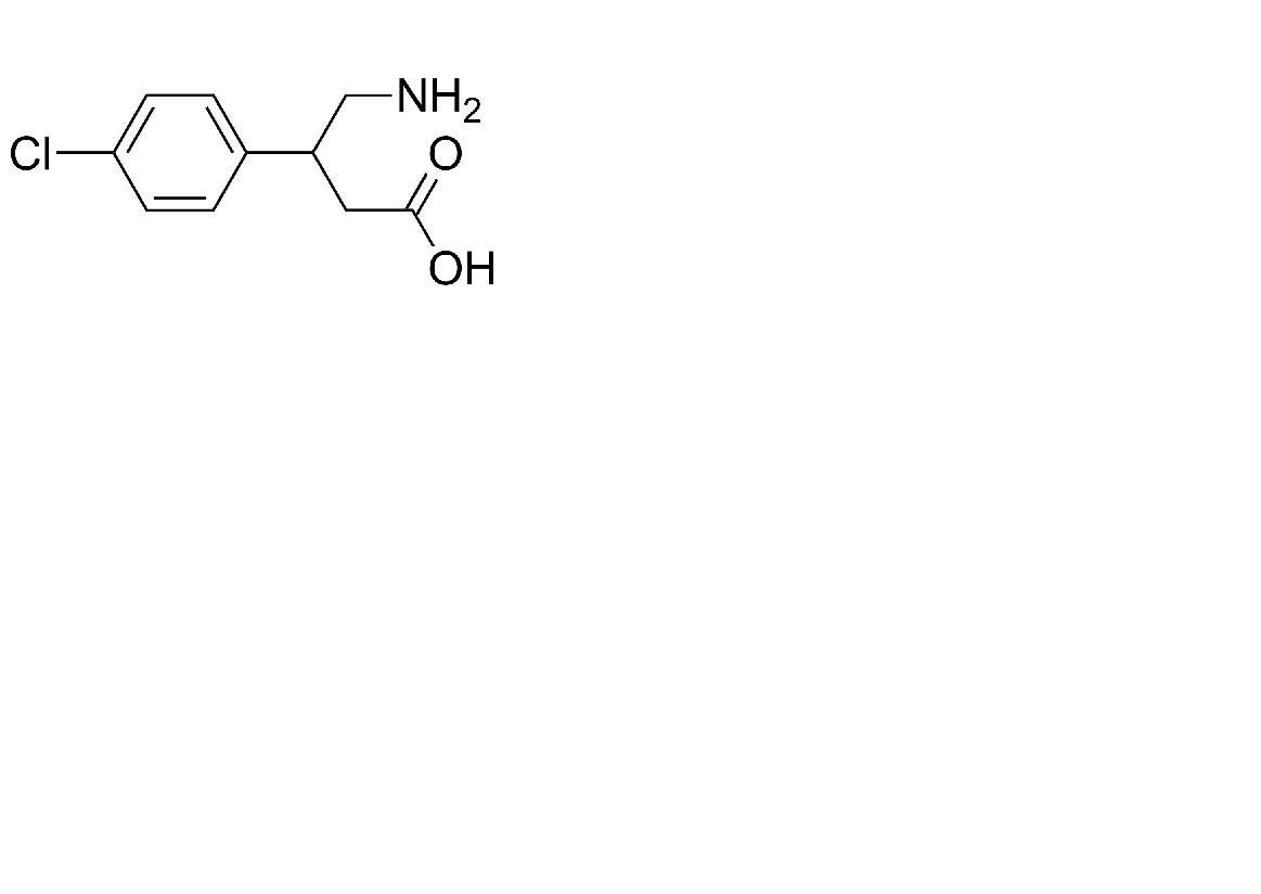
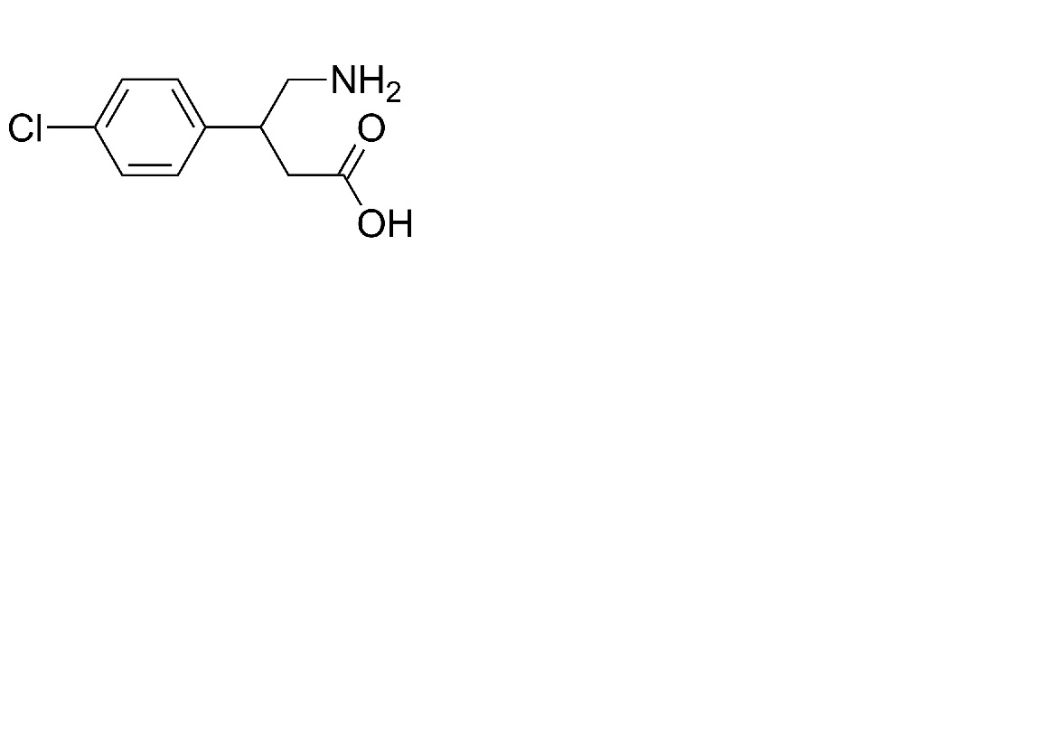
   التركيب الكيميائي  

المراهم
التوافق   المراهم   التوافق : Baclofen              
لا توجد بيانات

  Mentions Légales