Τελευταία ενημέρωση :
18/03/2026
Λοιπά   Baclofen  
Αλοιφές
Ενέσιμο Πόσιμο διάλυμα
Σταθερότητα και συμβατότητα των φαρμάκων Σταθερότητα σε μίγματα Παράγοντας που επηρεάζει τη σταθερότητα Συμβατότητες Βιβλιογραφία pdf
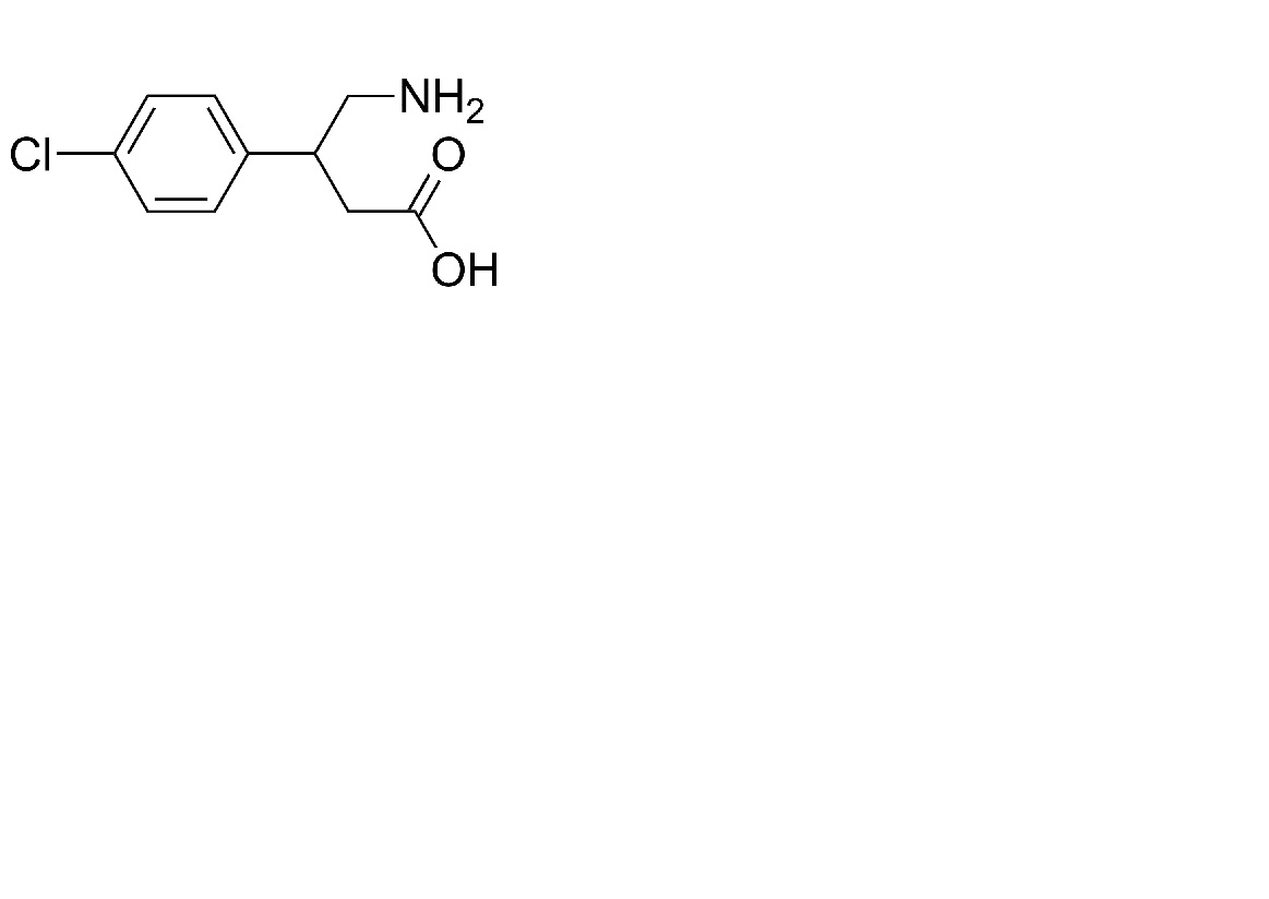
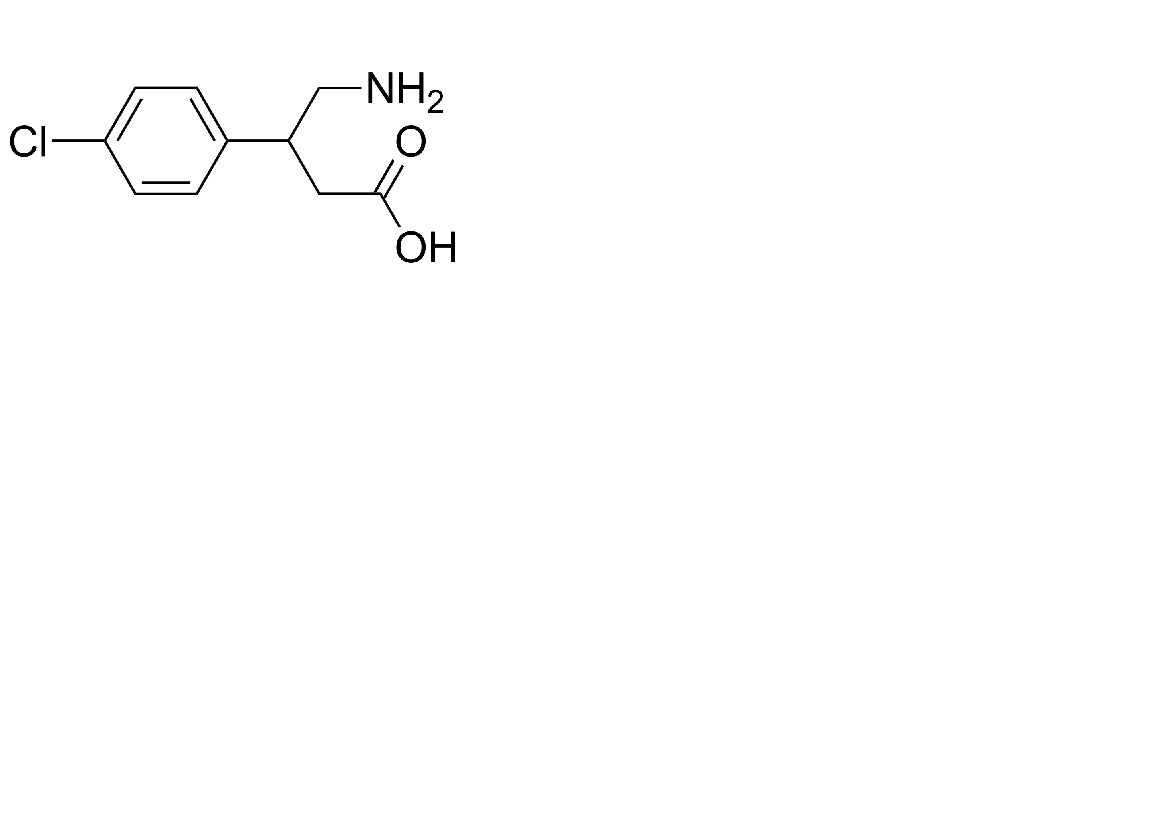
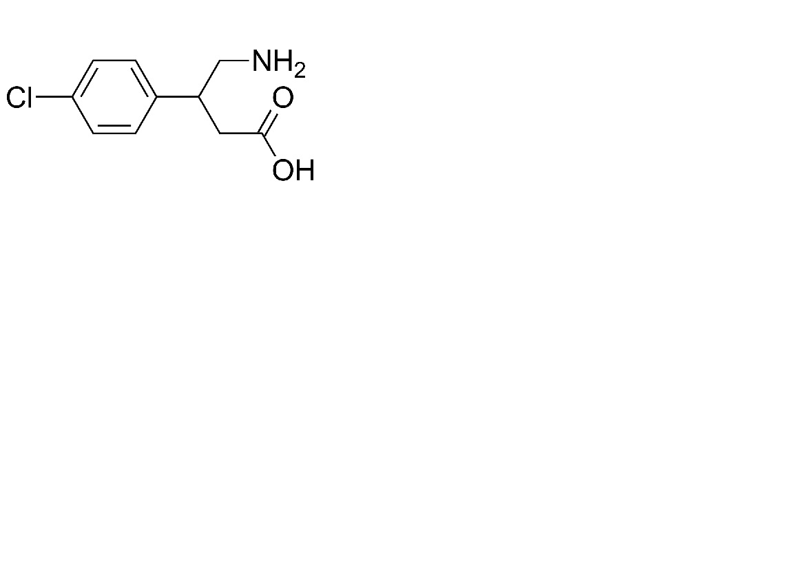
   χημική δομή  

Αλοιφές
Συμβατότητες    Αλοιφές   Συμβατότητες : Baclofen              
Δεν υπάρχουν πληροφορίες

  Mentions Légales