viimane versioon :
18/03/2026
mitmesugune   Baclofen  
salv
Süsteravim suukaudne lahus
Stabiilsust ravimpreparaadid Stabiilsust mõjutavad tegurid stabiilsust mõjutavad faktorid Sobimatus Viited pdf
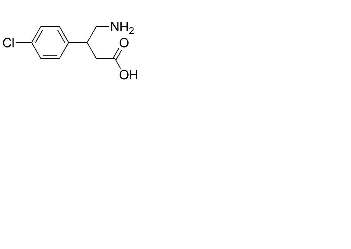
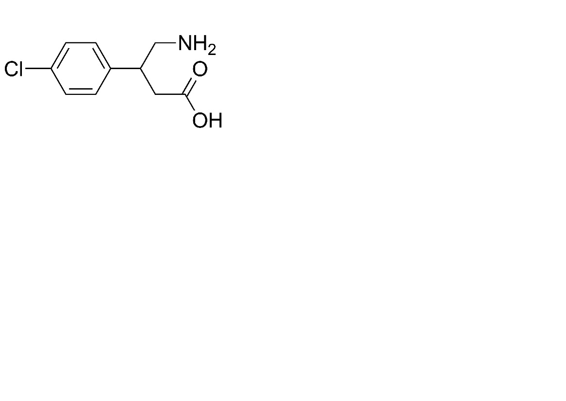
   keemiline struktuur  

salv
Sobimatus   salv   Sobimatus : Baclofen              
andmed puuduvad

  Mentions Légales