Seneste opdatering :
18/03/2026
Diverse   Baclofen  
Salver
Injektion Oral opløsning
Stabilitet af farmaceutiske tilberedninger Stabilitet i blandinger Faktorer der påvirker stabiliteten Kompatibilitet Bibliografi pdf
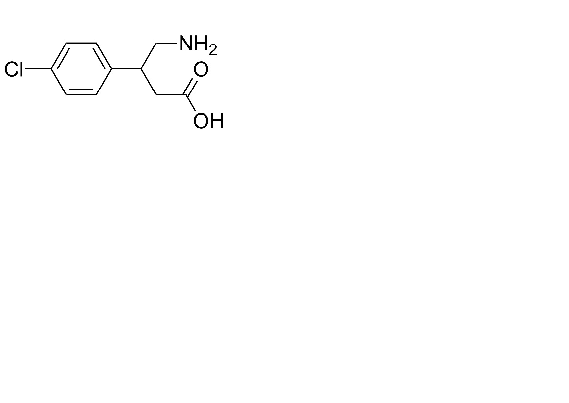
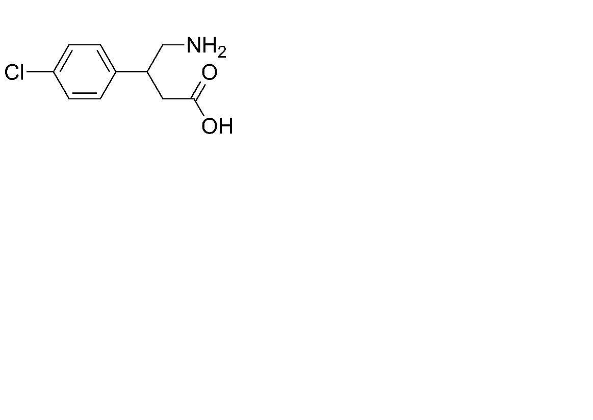
   Kemisk struktur  

Salver
Kompatibilitet   Salver   Kompatibilitet : Baclofen              
Ingen data

  Mentions Légales