Posledná aktualizácia :
18/03/2026
rôzne   Baclofen  
Dermálny prípravok
Injekcia Perorálny roztok
Stabilita farmaceutických prípravkov Stabilita v zmesiach Faktory ovplyvňujúce stabilitu Kompatibility Odkazy na literatúru PDF
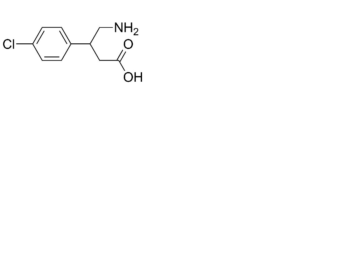
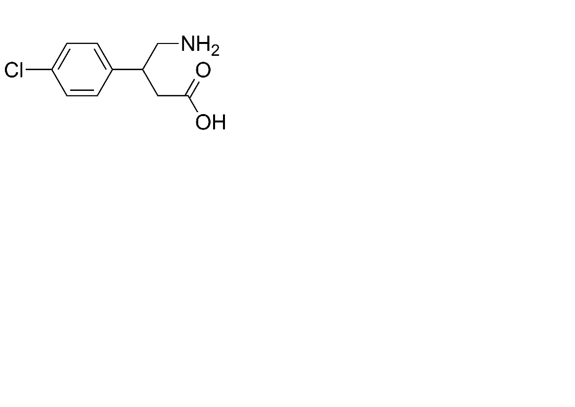
   Chemický vzorec  

Dermálny prípravok
Kompatibility   Dermálny prípravok   Kompatibility : Baclofen              
žiadne údaje

  Mentions Légales