Последнее обновление :
17/12/2025
Противовоспалительное средство   Ketoprofene  
Мази
Инъекция Раствор для перорального приёма Суппозиторий (свеча)
Стабильность фармацевтических препаратов Стабильность смесей Факторы, которые влияют на стабильность Совместимость Библиография pdf
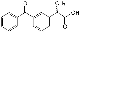
   Химическая структура  

Мази
Совместимость   Мази   Совместимость : Ketoprofene              
данных нет

  Mentions Légales