Pēdējā atjaunošana :
18/03/2026
Pretiekaisuma līdzeklis   Ketoprofene  
Ziedes
Injekcija Orāls šķīdums Supozitorijs
Stabilitāte farmaceitisko preparātu Maisījuma stabilitāte Stabilitāti ietekmējoši faktori Saderība Literatūras saraksts pdf
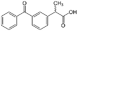
   Ķīmiskā uzbūve   

Ziedes
Saderība   Ziedes   Saderība : Ketoprofene              
Nav datu

  Mentions Légales