Zadnji put ažurirano :
18/03/2026
protuupalni   Ketoprofene  
masti
čepić injekcija oralna otopina
Stabilnost farmaceutskih pripravaka Stabilnost mješavine Stabilizacijski faktor Kompatibilnosti Bibliografija pdf
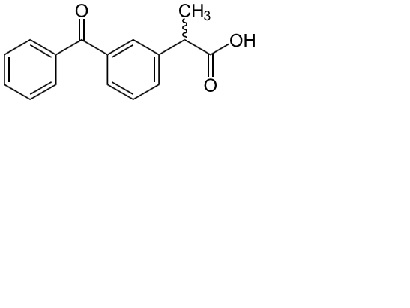
   Kemijska struktura  

masti
Kompatibilnosti   masti   Kompatibilnosti : Ketoprofene              
bez podataka

  Mentions Légales