Last update :
18/03/2026
Anti-inflammatory   Ketoprofene  
Ointments
injection Oral solution suppository
Stability of pharmaceutical preparations Stability of mixtures Factors which affect stability Compatibility References pdf
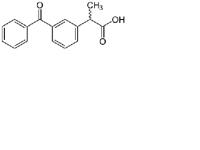
   Chemical structure  

Ointments
Compatibility   Ointments   Compatibility : Ketoprofene              
No data

  Mentions Légales