آخر تحديث :
18/03/2026
المضادة للالتهابات   Ketoprofene  
المراهم
تحميلة حقن عن طريق الفم
استقرار المستحضرات الصيدلانية استقرار مخاليط العوامل التي تؤثر على الاستقرار التوافق مراجع pdf
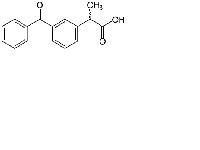
   التركيب الكيميائي  

المراهم
التوافق   المراهم   التوافق : Ketoprofene              
لا توجد بيانات

  Mentions Légales