Laatste update :
18/03/2026
Ontstekingsremmer   Ketoprofene  
zalf
injecteerbaar geneesmiddel Orale Oplossing zetpil
Stabiliteit van farmaceutische preparaten Stabiliteit in mengsels Factoren die de stabiliteit beïnvloeden Verenigbaarheden Literatuur pdf
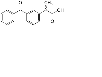
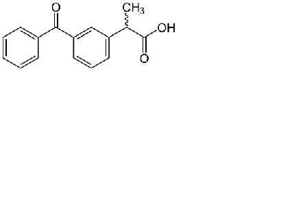
   Molecuulstructuur  

zalf
Verenigbaarheden   zalf   Verenigbaarheden : Ketoprofene              
geen gegevens

  Mentions Légales