Poslední aktualizace :
18/03/2026
Antiflogistikum   Ketoprofene  
Masti
čípky injekce Perorální roztok
Stabilita farmaceutických přípravků Stabilita směsí Faktory ovlivňující stabilitu Kompatibilita Odkazy pdf
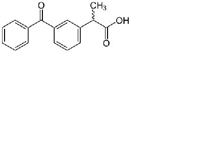
   Chemický vzorec  

Masti
Kompatibilita   Masti   Kompatibilita : Ketoprofene              
žádná data

  Mentions Légales