Seneste opdatering :
18/03/2026
Antiinflammatorisk   Ketoprofene  
Salver
Injektion Oral opløsning Stikpille
Stabilitet af farmaceutiske tilberedninger Stabilitet i blandinger Faktorer der påvirker stabiliteten Kompatibilitet Bibliografi pdf
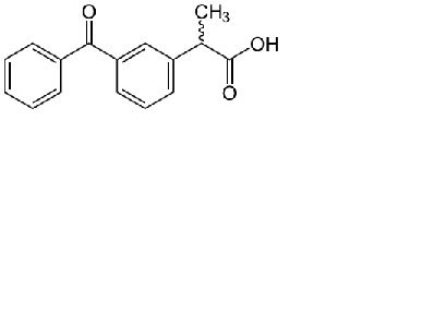
   Kemisk struktur  

Salver
Kompatibilitet   Salver   Kompatibilitet : Ketoprofene              
Ingen data

  Mentions Légales