Ultimele actualizari :
18/03/2026
Antiinflamator   Ketoprofene  
Unguente
Injectabil Soluţie orală Supozitoare
Stabilitatea preparatelor farmaceutice Stabilitatea in amestec Factorii care influenteaza stabilitatea Compatibilitate Bibliografie pdf
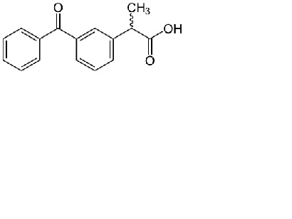
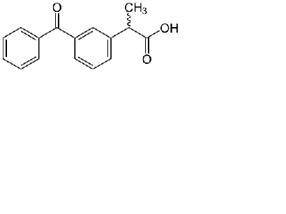
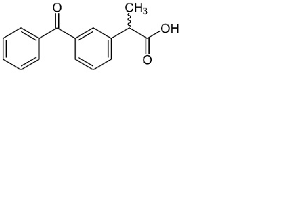
   Formula chimica  

Unguente
Compatibilitate   Unguente   Compatibilitate : Ketoprofene              
Absenta de date

  Mentions Légales