viimane versioon :
18/03/2026
Põletikuvastane ravim   Ketoprofene  
salv
ravimküünal Süsteravim suukaudne lahus
Stabiilsust ravimpreparaadid Stabiilsust mõjutavad tegurid stabiilsust mõjutavad faktorid Sobimatus Viited pdf
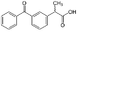
   keemiline struktuur  

salv
Sobimatus   salv   Sobimatus : Ketoprofene              
andmed puuduvad

  Mentions Légales