Poslední aktualizace :
18/03/2026
Priešuždegiminis vaistas   Ketoprofene  
Tepalai
Geriamas tirpalas Įpurškimas Žvakutė
Stabilumas farmacinių preparatų Mišinių stabilumas Stabilumą lemiantys veiksniai Suderinamumas Bibliografija pdf
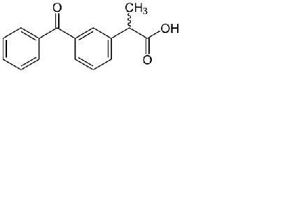
   Cheminė sandara  

Tepalai
Suderinamumas   Tepalai   Suderinamumas : Ketoprofene              
Nėra duomenų

  Mentions Légales