Senaste uppdateringen :
18/03/2026
Antiinflammatoriskt medel   Ketoprofene  
Salvor
injektion Oral lösning Stolpiller
Stabilitet av läkemedel Stabilitet i blandningar Faktorer som påverkar stabiliteten Kompatibilitet Hänvisningar pdf
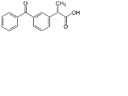
   Molekylstruktur  

Salvor
Kompatibilitet   Salvor   Kompatibilitet : Ketoprofene              
Ingen uppgift

  Mentions Légales