Ultimo aggiornamento :
18/03/2026
Antinfiammatorio   Ketoprofene  
Unguenti
Iniezione Soluzione orale supposta
Stabilità dei preparati farmaceutici Stabilità in miscela Fattori che influenzano la stabilità Compatibilità Bibliografia pdf
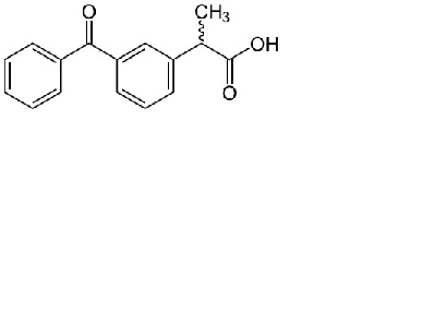
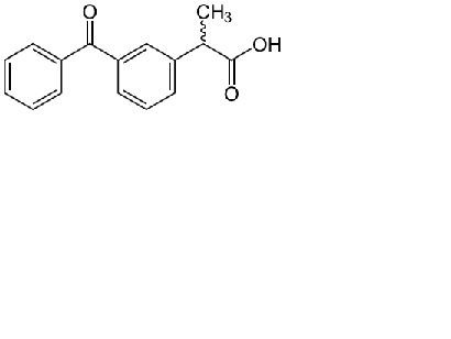
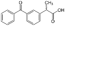
   Struttura chimica  

Unguenti
Compatibilità   Unguenti   Compatibilità : Ketoprofene              
Assenza di dati

  Mentions Légales