Letztes “update” :
18/03/2026
Entzündungshemmend   Ketoprofene  
Salben
Injektion Lösung zum Einnehmen Zäpfchen
Stabilität von pharmazeutischen Präparaten Gemengestabilität Stabilitätbeeinflussende Faktoren Kompatibilitäten Literaturverzeichnis pdf
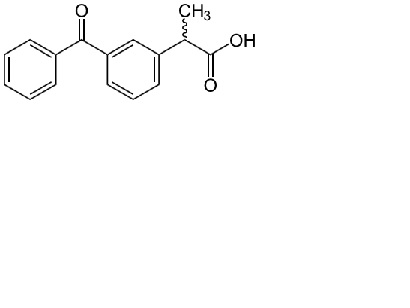
   Chemische Struktur  

Salben
Kompatibilitäten   Salben   Kompatibilitäten : Ketoprofene              
Keine Daten

  Mentions Légales