Останнє оновлення :
18/03/2026
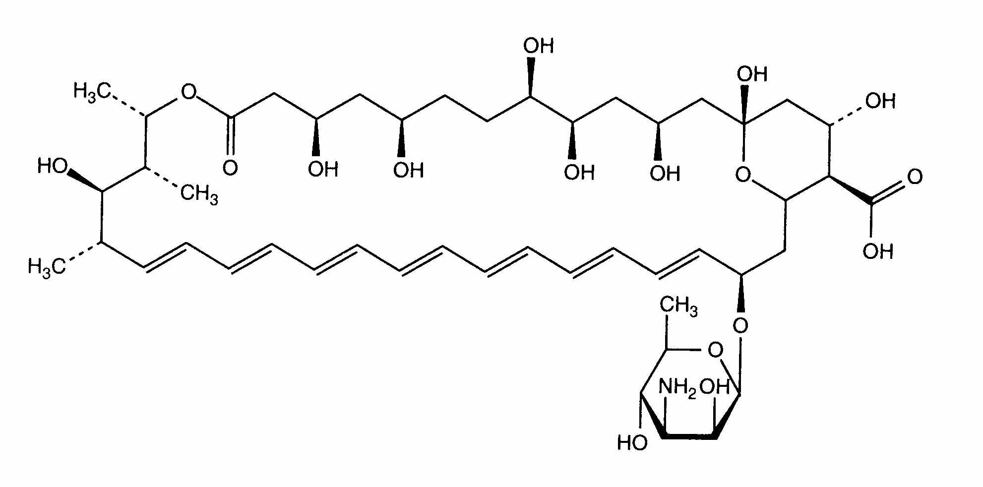
Протигрибковий   Amphotericin B liposomale  
Очні краплі
ін'єкція
Стабільність фармацевтичних препаратів Стійкість сумішей Фактори, що впливають на стабільність Сумісність Список літератури pdf
Ліпосома   Хімічна структура  

Очні краплі

Фактори, що впливають на стабільність   Очні краплі   Фактори, що впливають на стабільність : Amphotericin B liposomale        
7 / 5 000 Résultats de traduction Немає даних

  Mentions Légales