Zadnji put ažurirano :
18/03/2026
antifungicid   Amphotericin B liposomale  
kapi za oko
injekcija
Stabilnost farmaceutskih pripravaka Stabilnost mješavine Stabilizacijski faktor Kompatibilnosti Bibliografija pdf
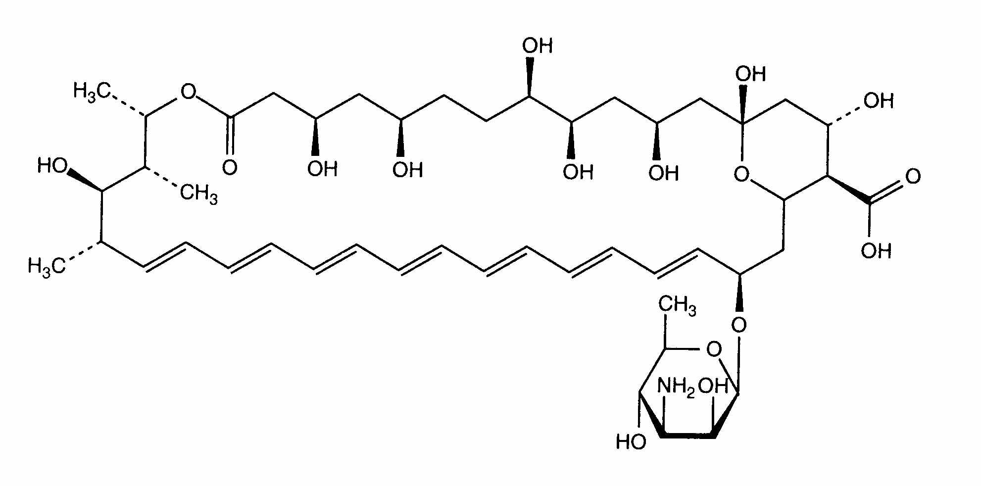
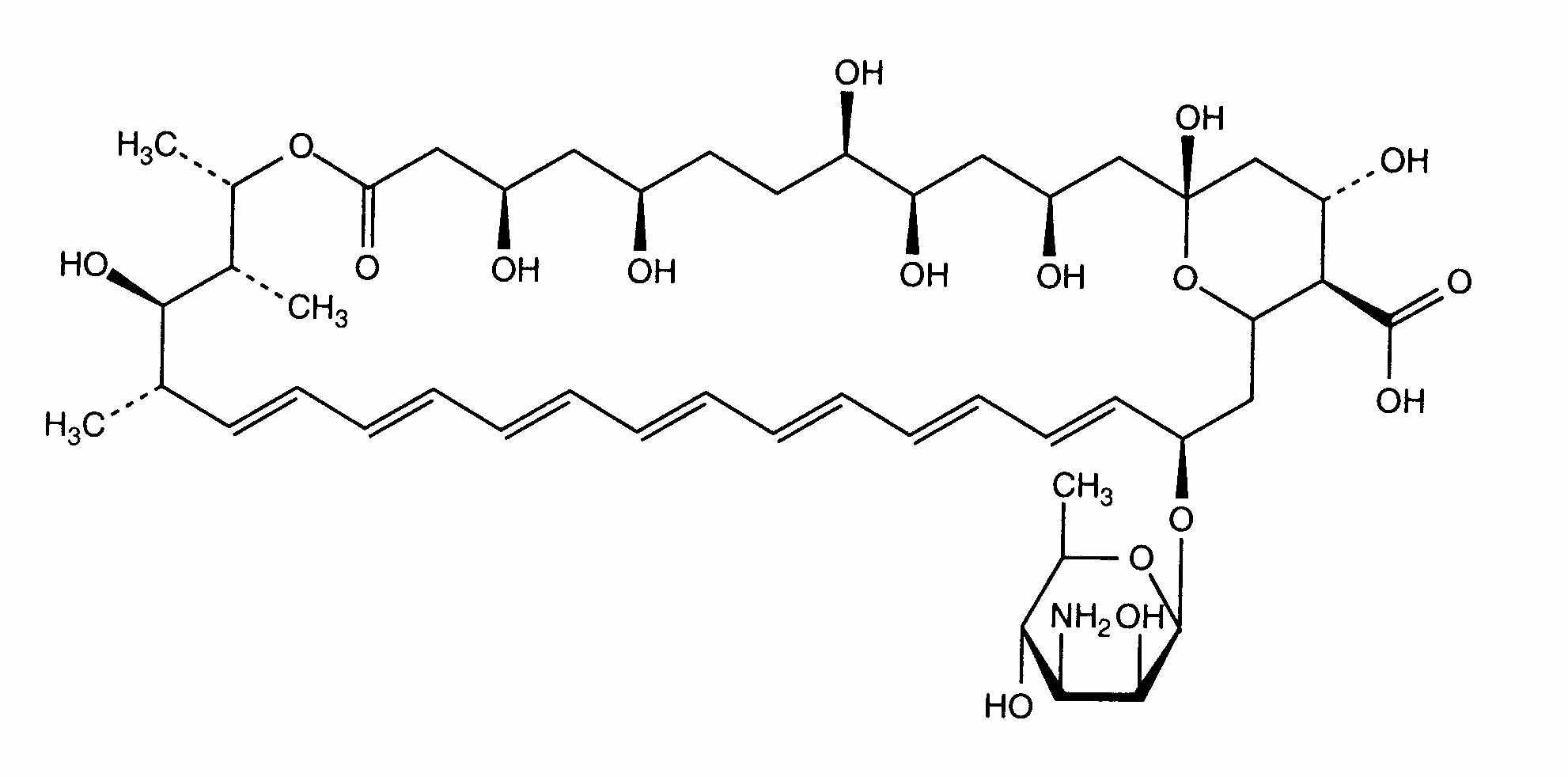
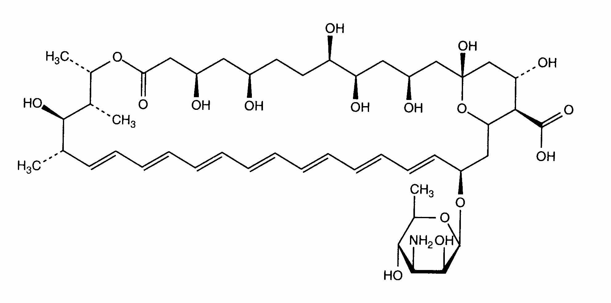
liposomi   Kemijska struktura  

kapi za oko

Stabilizacijski faktor   kapi za oko   Stabilizacijski faktor : Amphotericin B liposomale        
bez podataka

  Mentions Légales