Последнее обновление :
18/03/2026
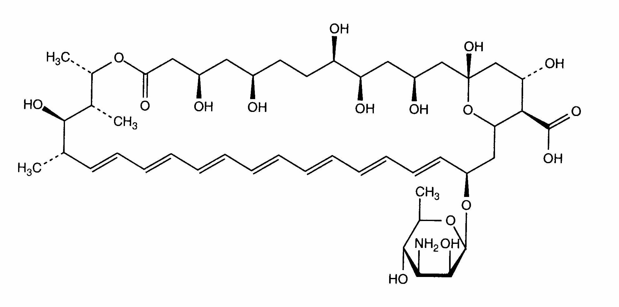
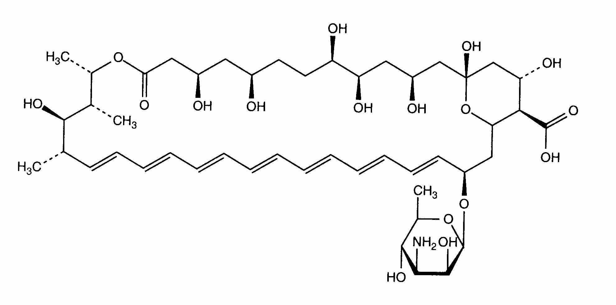
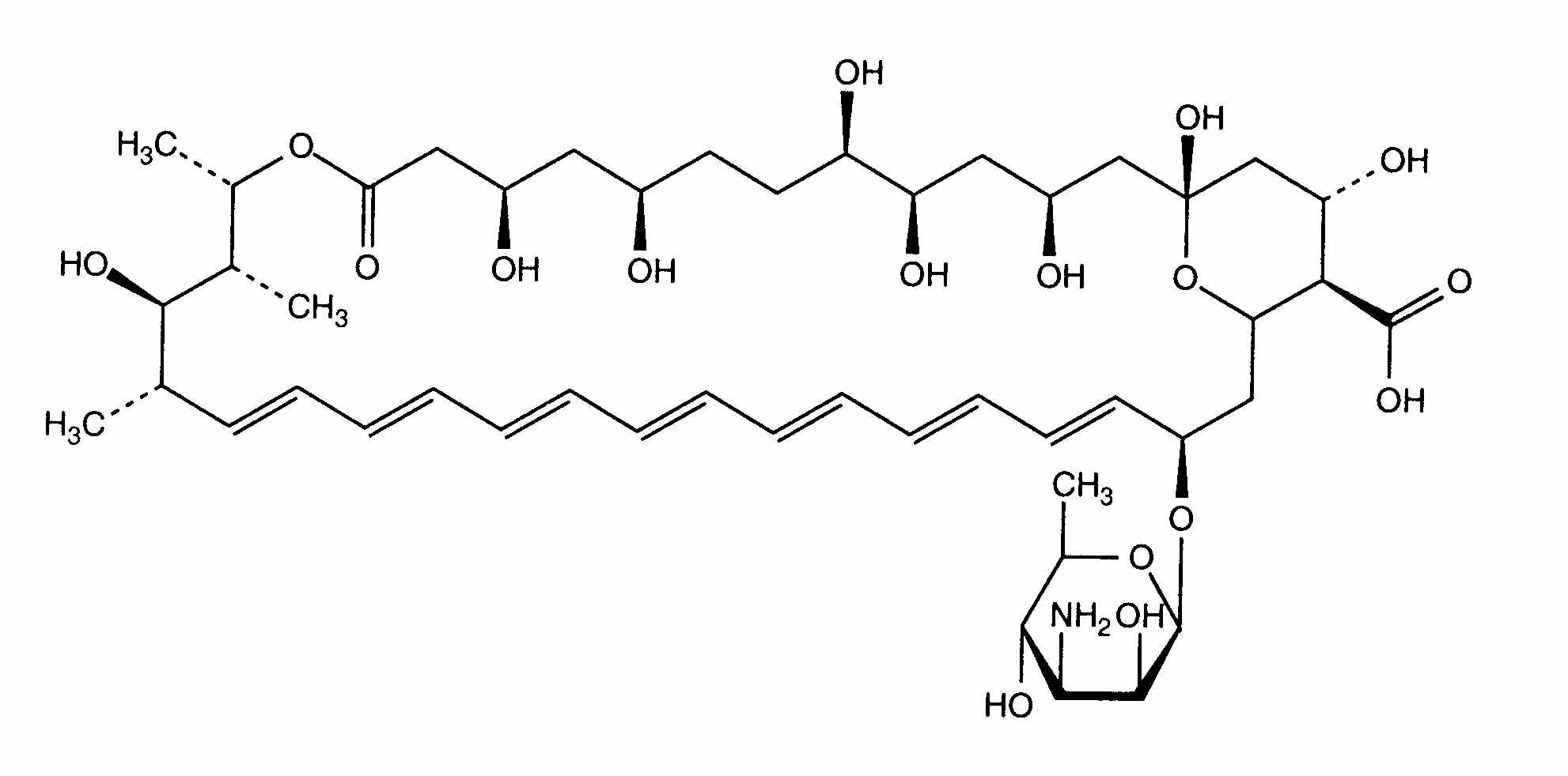
Противогрибковое средство   Amphotericin B liposomale  
Глазные капли
Инъекция
Стабильность фармацевтических препаратов Стабильность смесей Факторы, которые влияют на стабильность Совместимость Библиография pdf
Липосома   Химическая структура  

Глазные капли

Факторы, которые влияют на стабильность   Глазные капли   Факторы, которые влияют на стабильность : Amphotericin B liposomale        
данных нет

  Mentions Légales