Seneste opdatering :
18/03/2026
Antisvampe   Amphotericin B liposomale  
Øjendråber
Injektion
Stabilitet af farmaceutiske tilberedninger Stabilitet i blandinger Faktorer der påvirker stabiliteten Kompatibilitet Bibliografi pdf
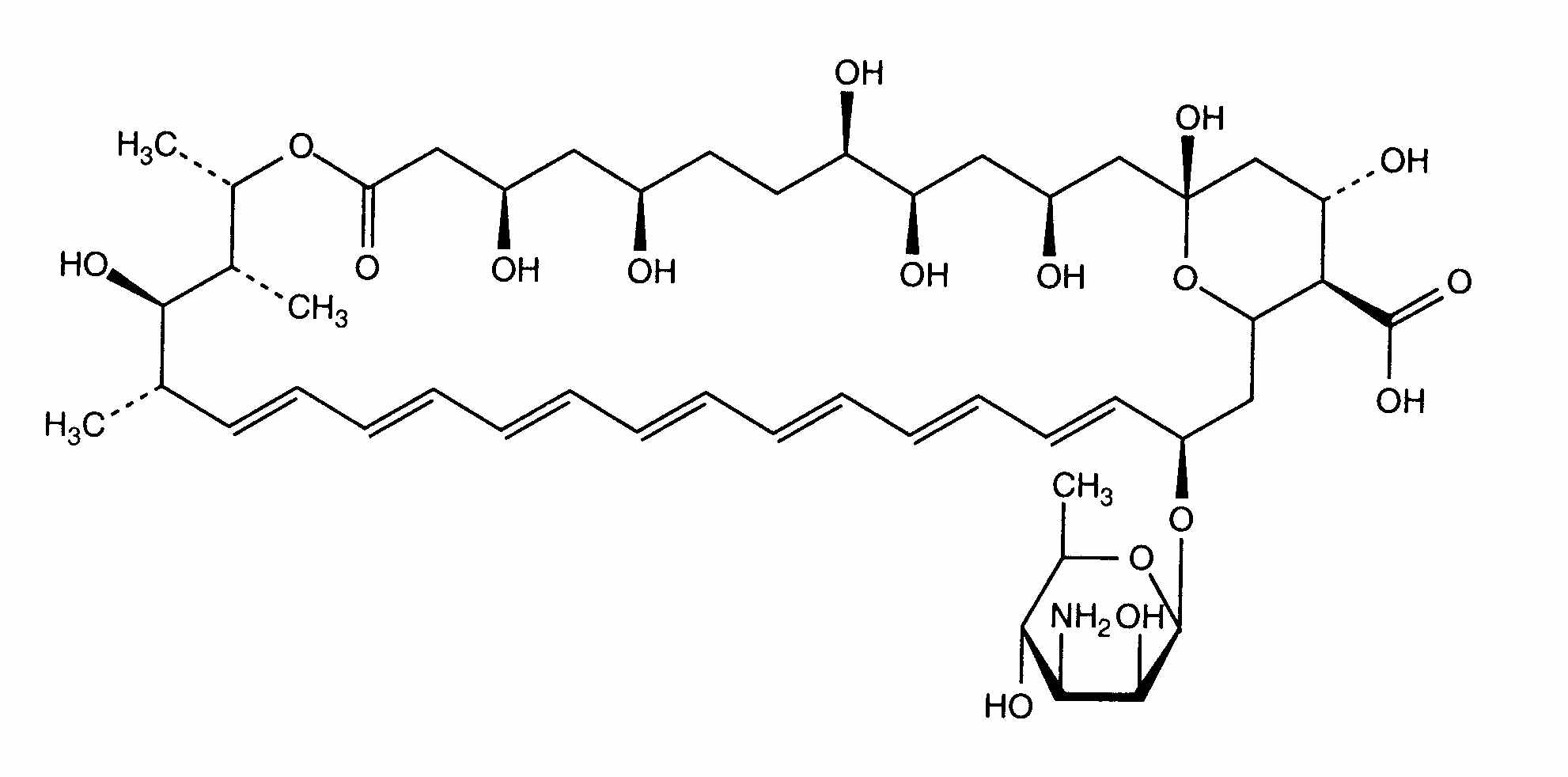
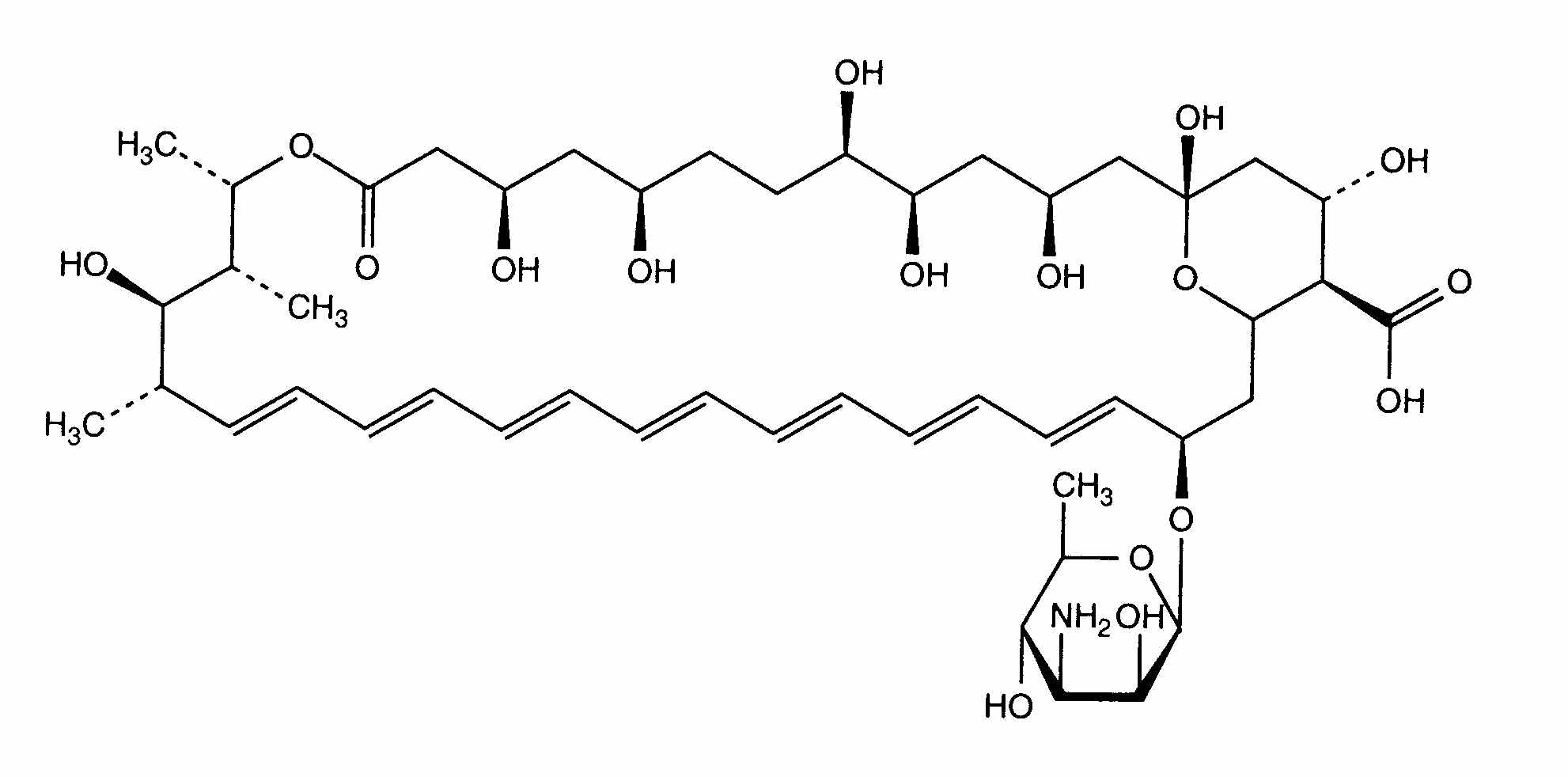
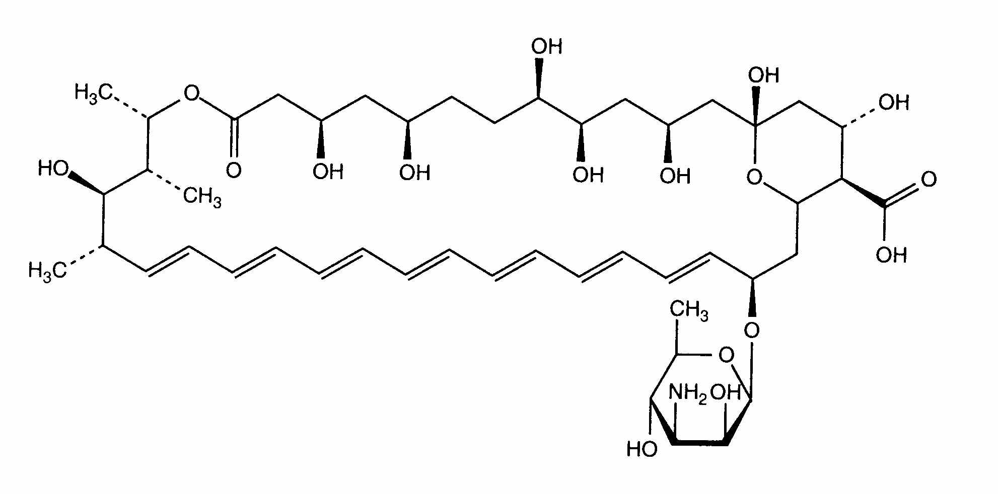
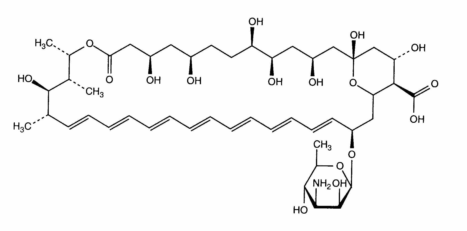
Liposom   Kemisk struktur  

Øjendråber

Faktorer der påvirker stabiliteten   Øjendråber   Faktorer der påvirker stabiliteten : Amphotericin B liposomale        
Ingen data

  Mentions Légales