Utolsó frissítés :
18/03/2026
Gombaellenes szer   Amphotericin B liposomale  
Szemcsepp
Injekció
Stabilitása gyógyszerészeti készítmények A keverékek stabilitása Stabilitást befolyásoló tényezők Kompatibilitás Irodalom pdf
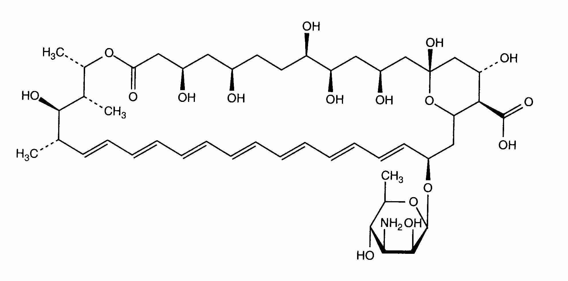
Liposzóma   Kémiai szerkezet   

Szemcsepp

Stabilitást befolyásoló tényezők   Szemcsepp   Stabilitást befolyásoló tényezők : Amphotericin B liposomale        
Hiányzó adat

  Mentions Légales