Ultimo aggiornamento :
18/03/2026
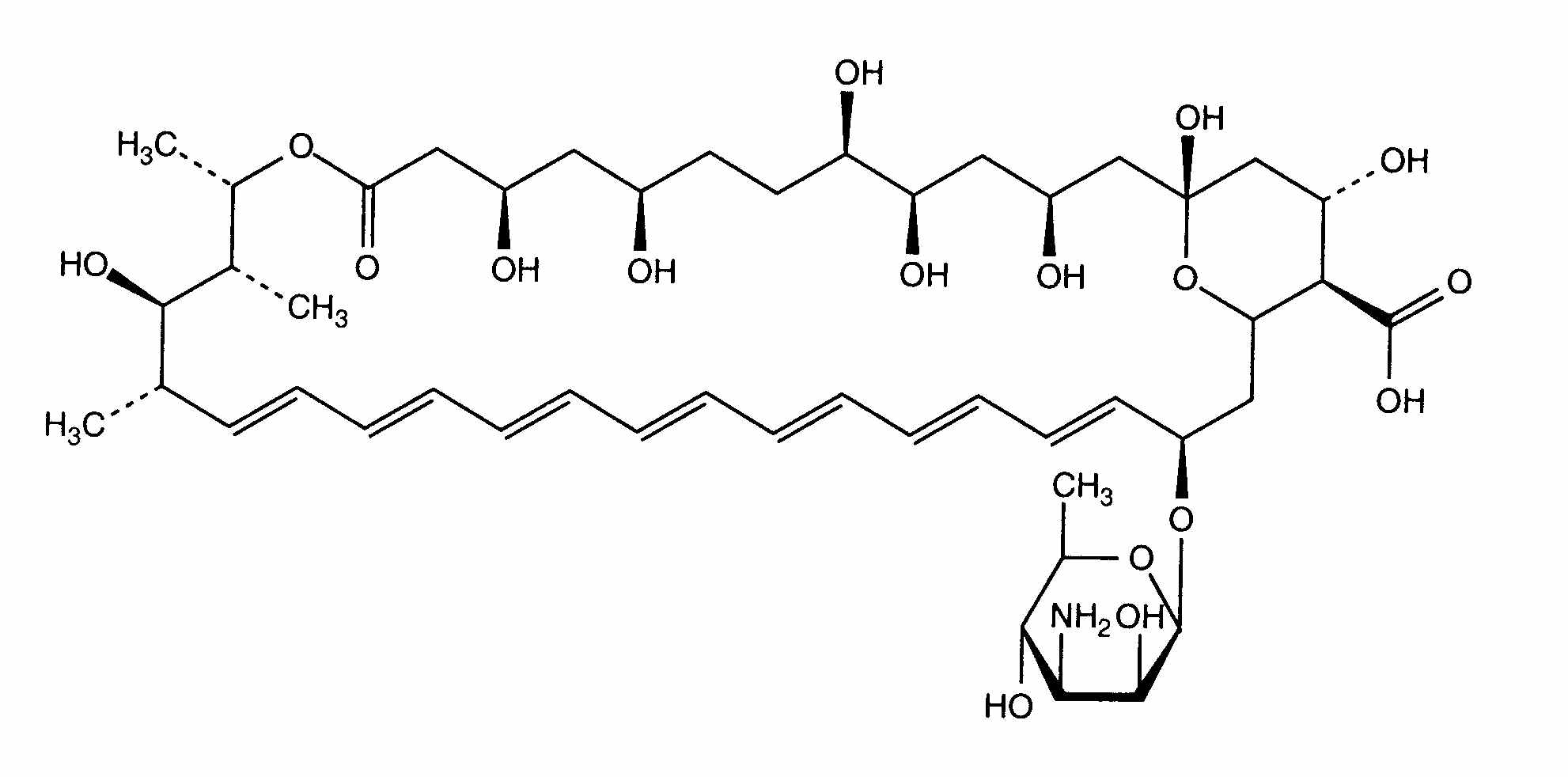
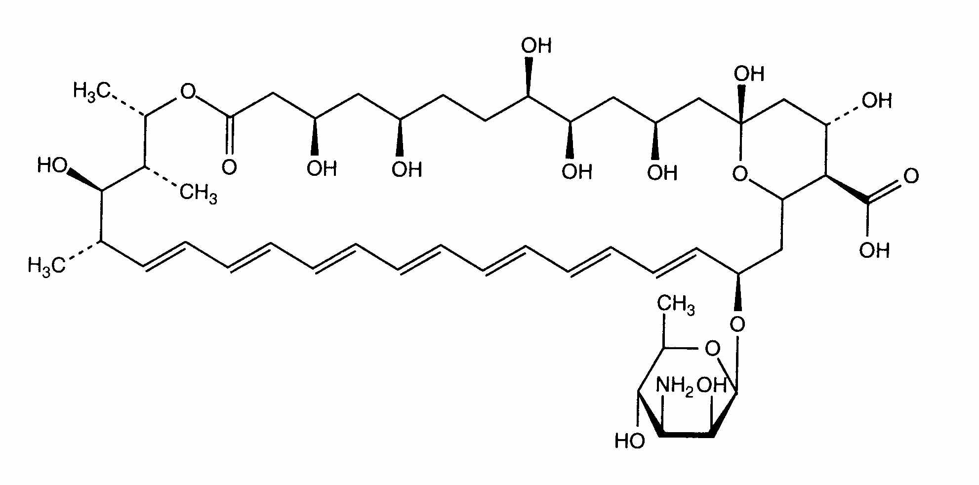
Antimicotico   Amphotericin B liposomale  
Collirio
Iniezione
Stabilità dei preparati farmaceutici Stabilità in miscela Fattori che influenzano la stabilità Compatibilità Bibliografia pdf
Liposoma   Struttura chimica  

Collirio

Fattori che influenzano la stabilità   Collirio   Fattori che influenzano la stabilità : Amphotericin B liposomale        
Assenza di dati

  Mentions Légales