آخر تحديث :
18/03/2026
مضاد للفطريات   Amphotericin B liposomale  
قطرات العين
حقن
استقرار المستحضرات الصيدلانية استقرار مخاليط العوامل التي تؤثر على الاستقرار التوافق مراجع pdf
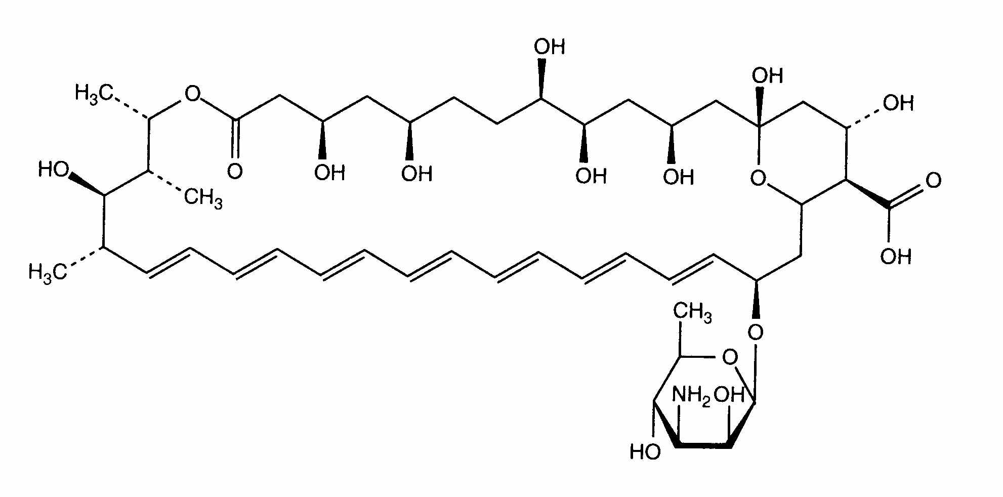
الحويصلية   التركيب الكيميائي  

قطرات العين

العوامل التي تؤثر على الاستقرار   قطرات العين   العوامل التي تؤثر على الاستقرار : Amphotericin B liposomale        
لا توجد بيانات

  Mentions Légales