Laatste update :
18/03/2026
Antimycoticum   Amphotericin B liposomale  
Oogwater
injecteerbaar geneesmiddel
Stabiliteit van farmaceutische preparaten Stabiliteit in mengsels Factoren die de stabiliteit beïnvloeden Verenigbaarheden Literatuur pdf
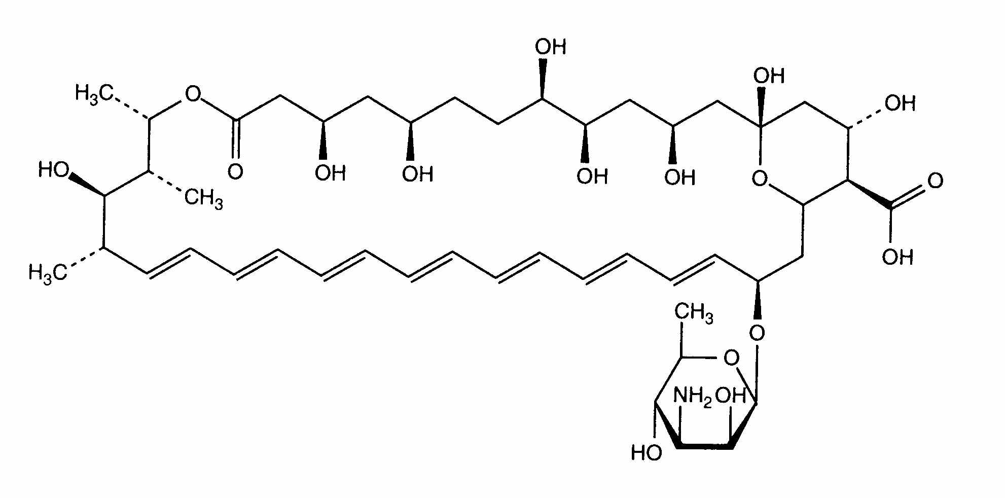
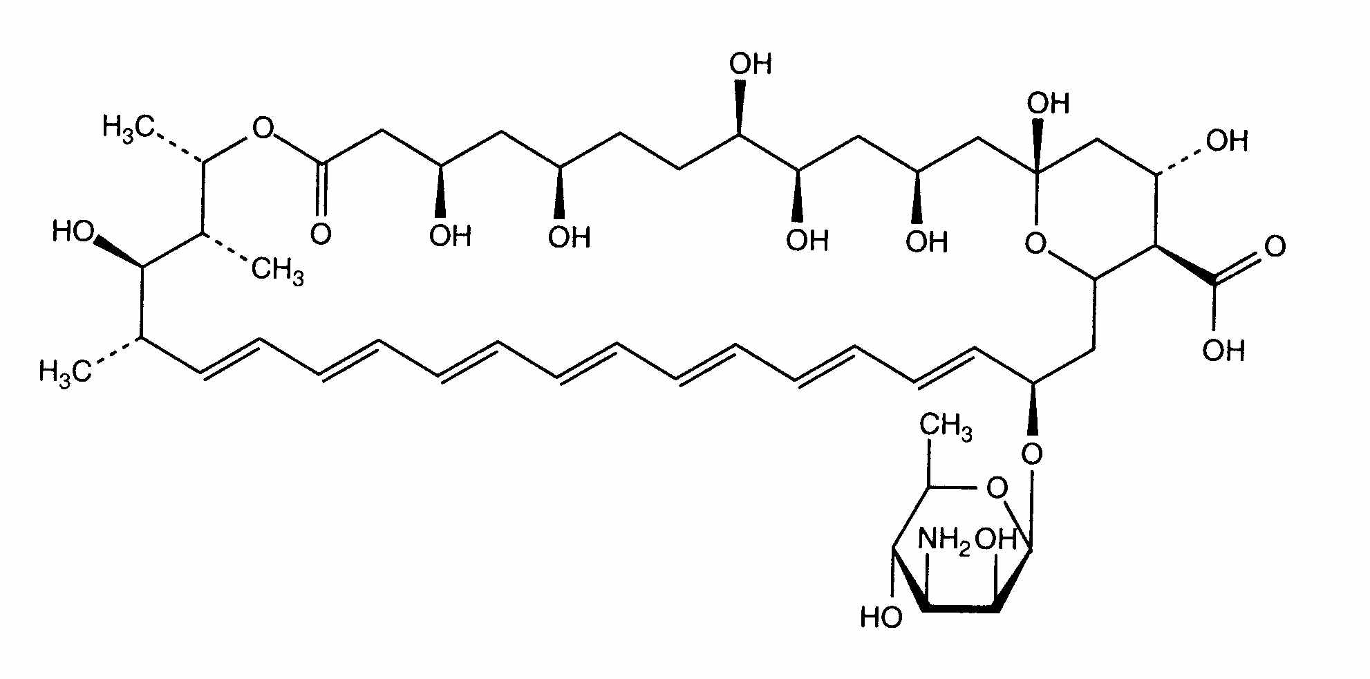
Liposomen   Molecuulstructuur  

Oogwater

Factoren die de stabiliteit beïnvloeden   Oogwater   Factoren die de stabiliteit beïnvloeden : Amphotericin B liposomale        
geen gegevens

  Mentions Légales