Poslední aktualizace :
18/03/2026
Priešgrybelinis vaistas   Amphotericin B liposomale  
Akių lašai
Įpurškimas
Stabilumas farmacinių preparatų Mišinių stabilumas Stabilumą lemiantys veiksniai Suderinamumas Bibliografija pdf
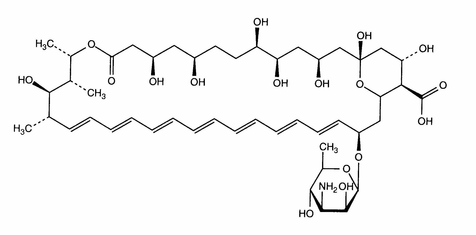
Liposoma   Cheminė sandara  

Akių lašai

Stabilumą lemiantys veiksniai   Akių lašai   Stabilumą lemiantys veiksniai : Amphotericin B liposomale        
Nėra duomenų

  Mentions Légales