Siste oppdatering :
18/03/2026
Fungicid   Amphotericin B liposomale  
Øyedråper
Injeksjon
Stabilitet av farmasøytiske preparater Stabilitet i blandinger Faktorer som påvirker stabiliteten Kompatibilitet Referanser pdf
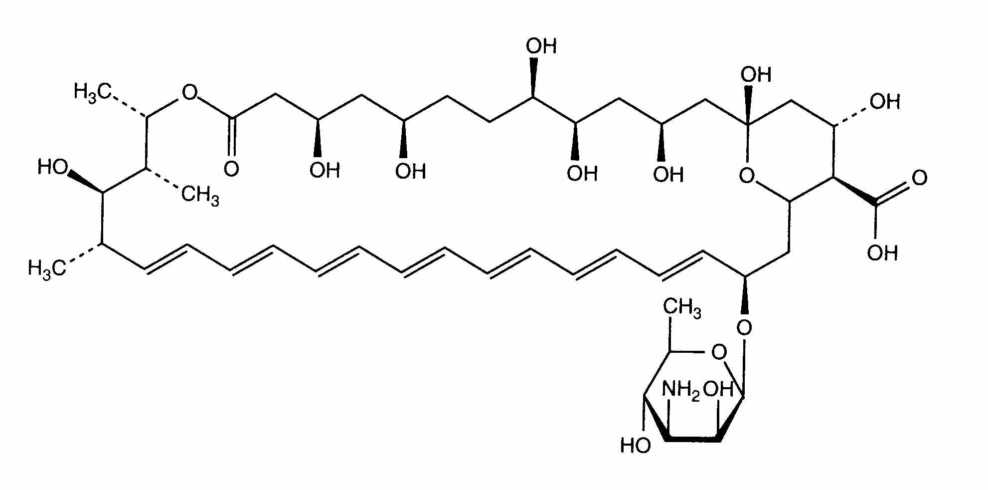
Liposom   Kjemisk struktur  

Øyedråper

Faktorer som påvirker stabiliteten   Øyedråper   Faktorer som påvirker stabiliteten : Amphotericin B liposomale        
Ingen opplysninger

  Mentions Légales