最新更新 :
18/03/2026
抗真菌药   Amphotericin B liposomale  
眼药水
注射液
制剂的稳定性 混合物稳定性 影响稳定性的因素 兼容性 引用文献 PDF
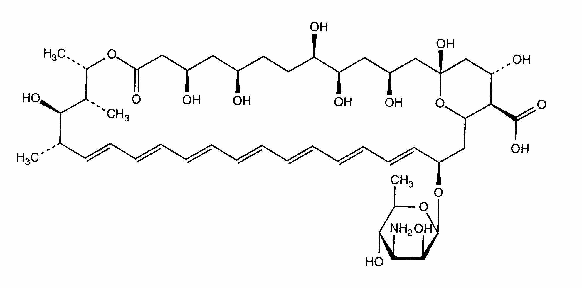
脂質體   化学式  

眼药水

影响稳定性的因素   眼药水   影响稳定性的因素 : Amphotericin B liposomale        
无数据

  Mentions Légales