Senaste uppdateringen :
18/03/2026
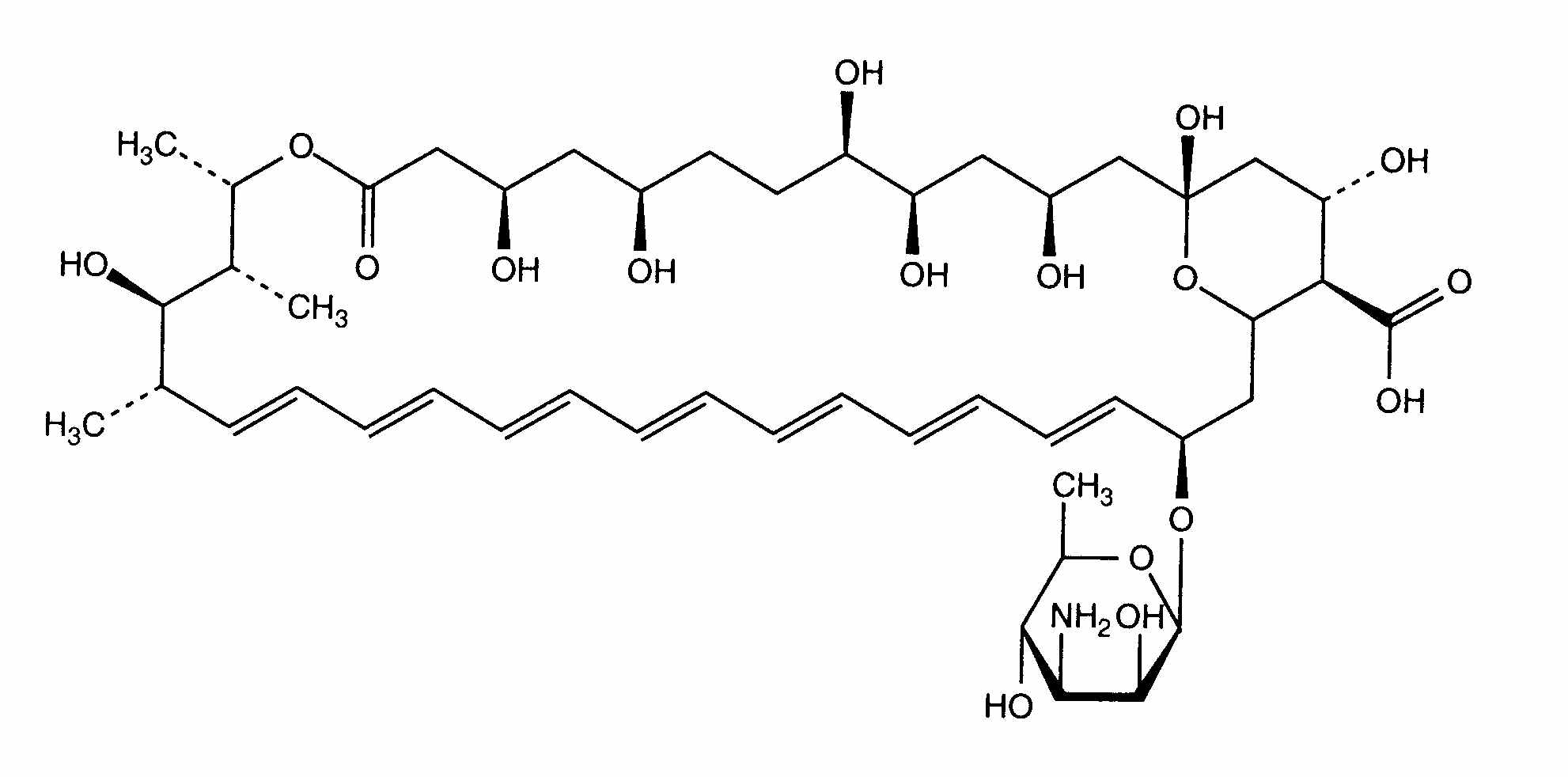
Antimykotikum   Amphotericin B liposomale  
ögondroppar
injektion
Stabilitet av läkemedel Stabilitet i blandningar Faktorer som påverkar stabiliteten Kompatibilitet Hänvisningar pdf
Liposom   Molekylstruktur  

ögondroppar

Faktorer som påverkar stabiliteten   ögondroppar   Faktorer som påverkar stabiliteten : Amphotericin B liposomale        
Ingen uppgift

  Mentions Légales