Last update :
18/03/2026
Antifungal   Amphotericin B liposomale  
Eye-drops
injection
Stability of pharmaceutical preparations Stability of mixtures Factors which affect stability Compatibility References pdf
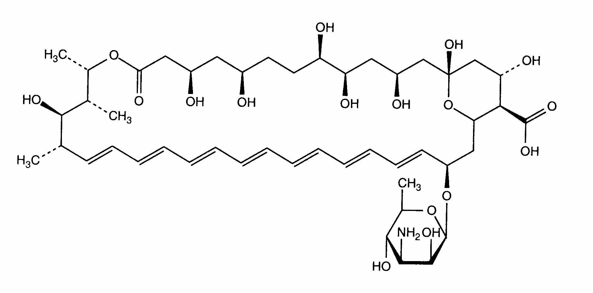
Liposome   Chemical structure  

Eye-drops

Factors which affect stability   Eye-drops   Factors which affect stability : Amphotericin B liposomale        
No data

  Mentions Légales