Останнє оновлення :
18/03/2026
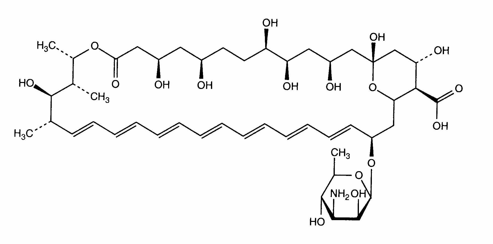
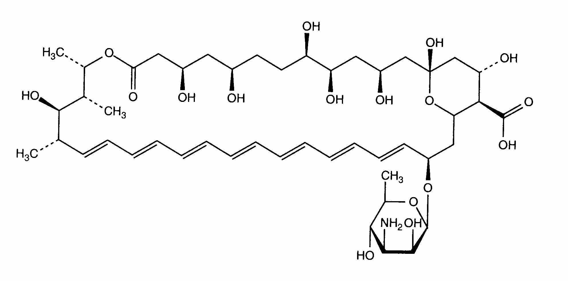
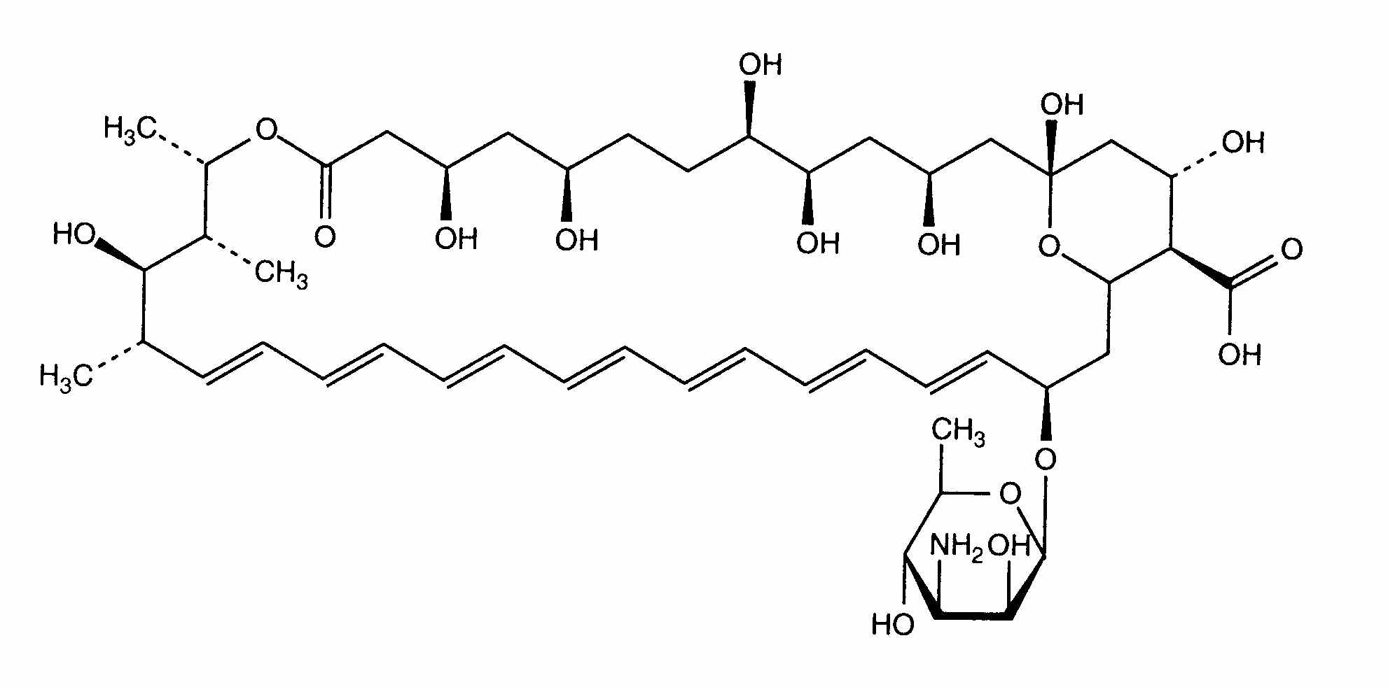
Протигрибковий   Amphotericin B liposomale  
Очні краплі
ін'єкція
Стабільність фармацевтичних препаратів Стійкість сумішей Фактори, що впливають на стабільність Сумісність Список літератури pdf
Ліпосома   Хімічна структура  

Очні краплі
Сумісність   Очні краплі   Сумісність : Amphotericin B liposomale              
7 / 5 000 Résultats de traduction Немає даних

  Mentions Légales