Последно актуализиране :
18/03/2026
Противогъбично средство   Amphotericin B liposomale  
Капки за очи
Инжекция/Инжекционен
Стабилност на лекарствени препарати Стабилност на смеси Фактори, повлияващи стабилността Съвместимост Библиография Pdf
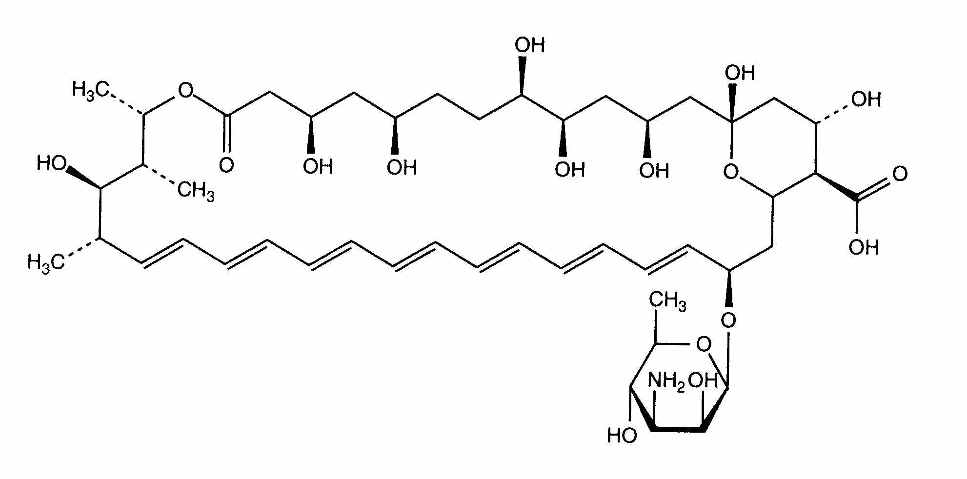
липозомен   Химична структура  

Капки за очи
Съвместимост   Капки за очи   Съвместимост : Amphotericin B liposomale              
Няма данни

  Mentions Légales