Ostatnia aktualizacja :
18/03/2026
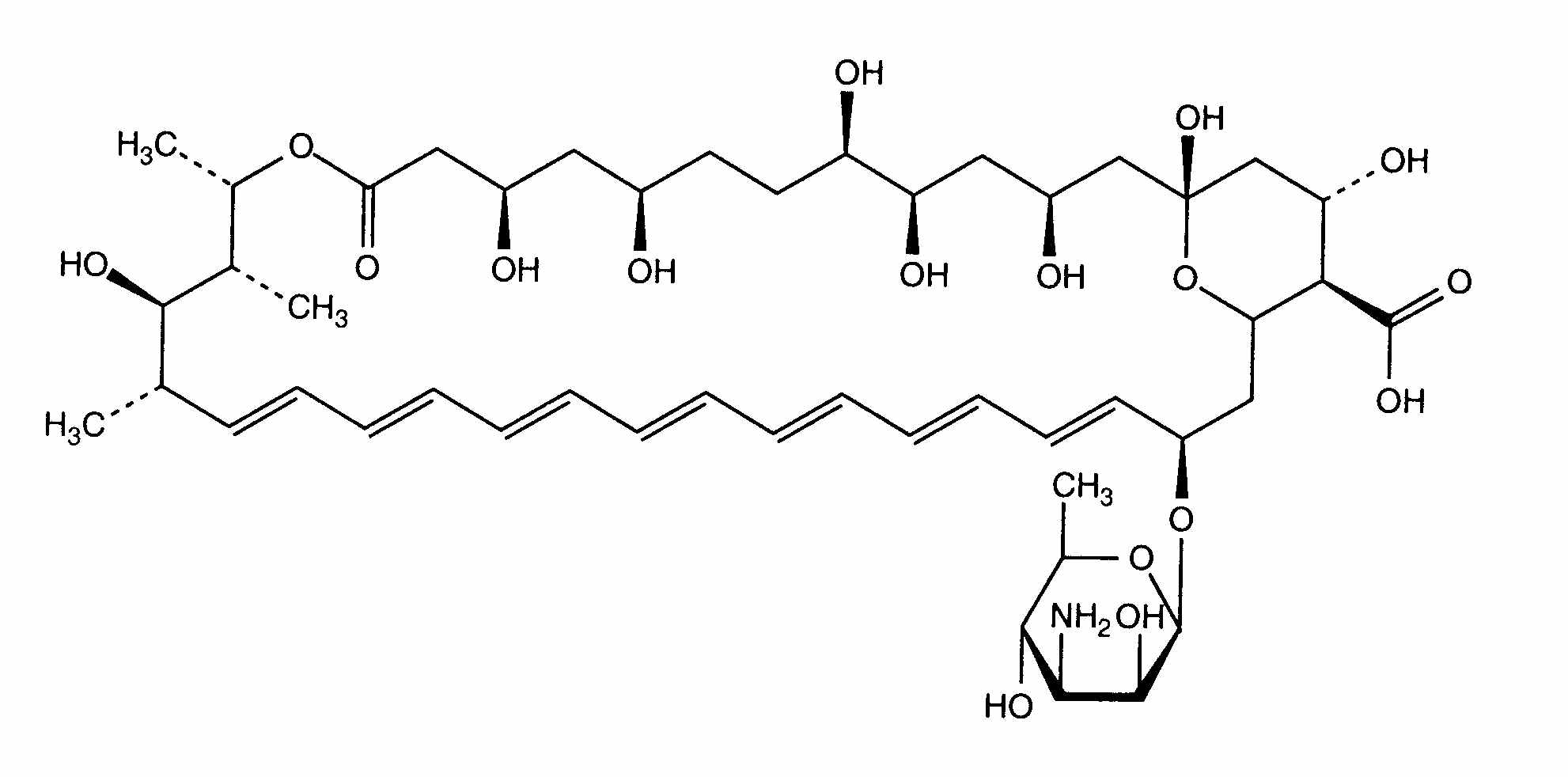
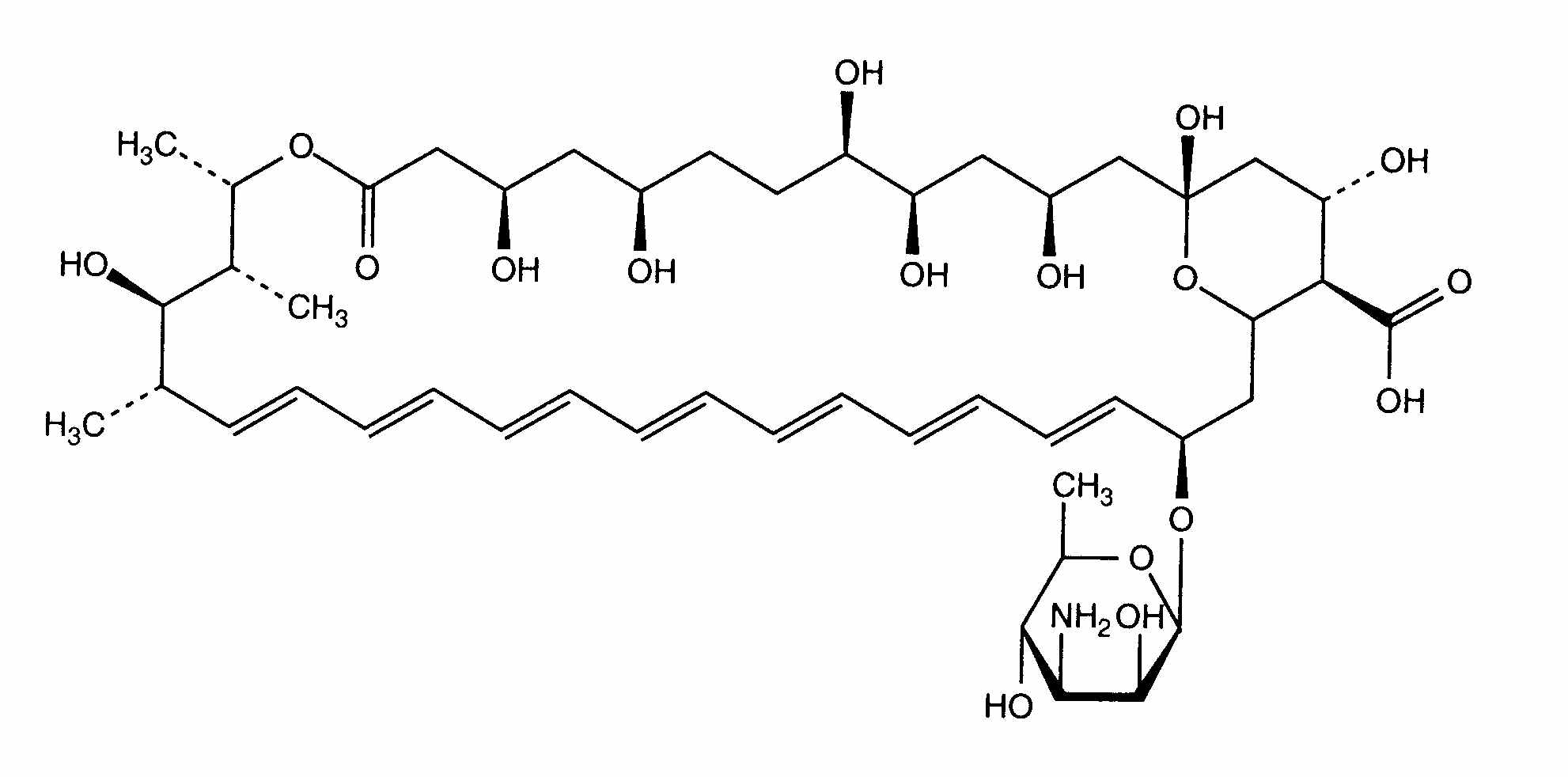
Lek przeciwgrzybiczny   Amphotericin B liposomale  
Krople oczne
Injekcje
Stabilność preparatów farmaceutycznych Trwałość w mieszaninie Czynnik wpływający na trwałość Zgodność Bibliografia pdf
Liposomy   Struktura chemiczna  

Krople oczne
Zgodność   Krople oczne   Zgodność : Amphotericin B liposomale              
Brak danych

  Mentions Légales