Pēdējā atjaunošana :
18/03/2026
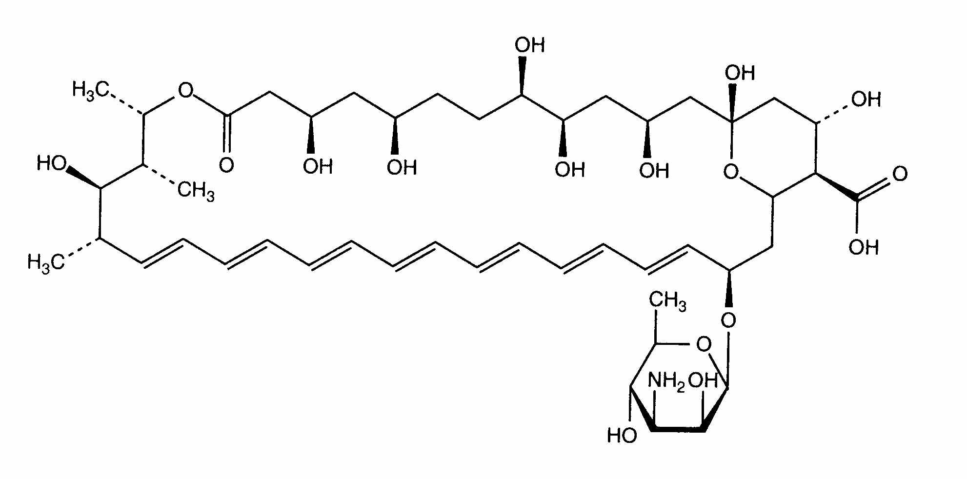
Pretsēnīšu līdzeklis   Amphotericin B liposomale  
Acu pilieni
Injekcija
Stabilitāte farmaceitisko preparātu Maisījuma stabilitāte Stabilitāti ietekmējoši faktori Saderība Literatūras saraksts pdf
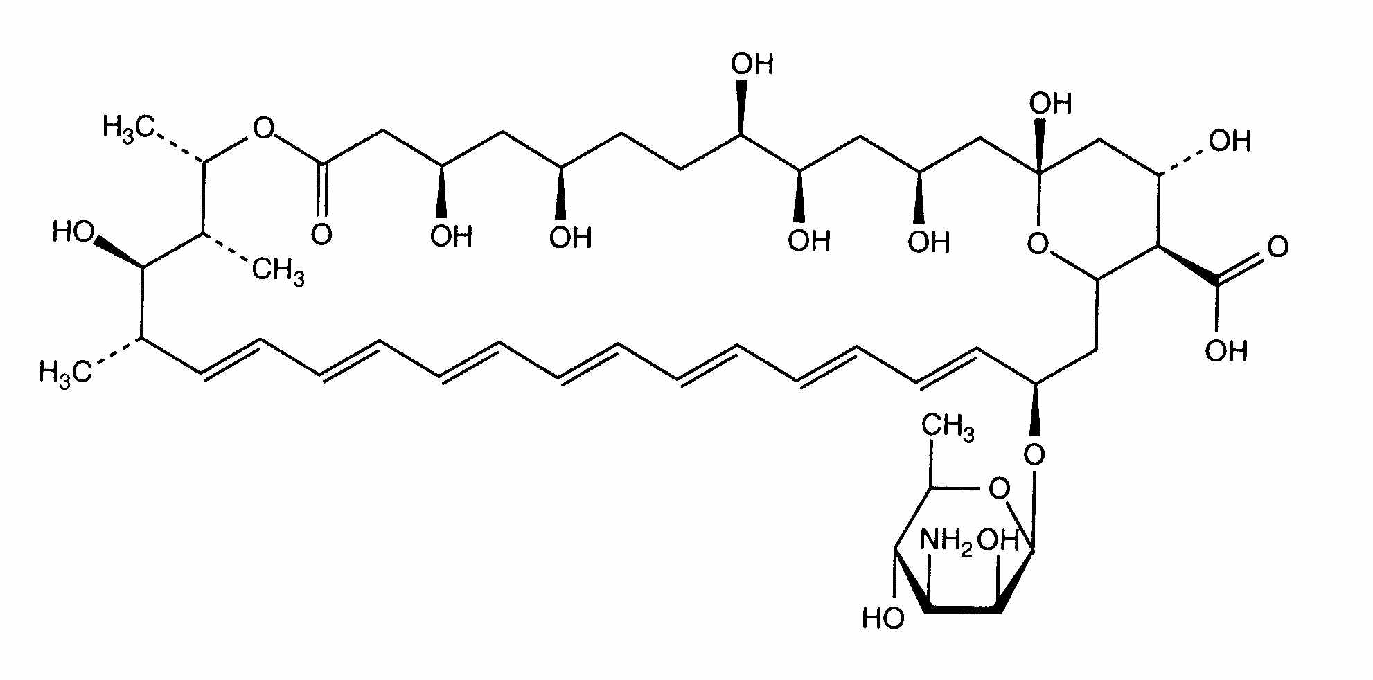
Liposoma   Ķīmiskā uzbūve   

Acu pilieni
Saderība   Acu pilieni   Saderība : Amphotericin B liposomale              
Nav datu

  Mentions Légales