Son güncelleme :
18/03/2026
Antifungal   Amphotericin B liposomale  
Göz damlası
Enjeksiyon
Farmasötik preparatlar Kararlılığı Karışımlardaki stabilitesi Stabiliteyi etkileyen faktörler Uyumluluk Kaynaklar pdf
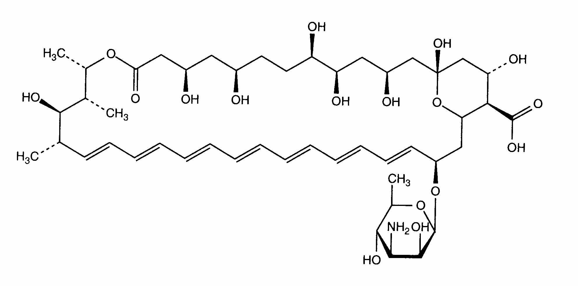
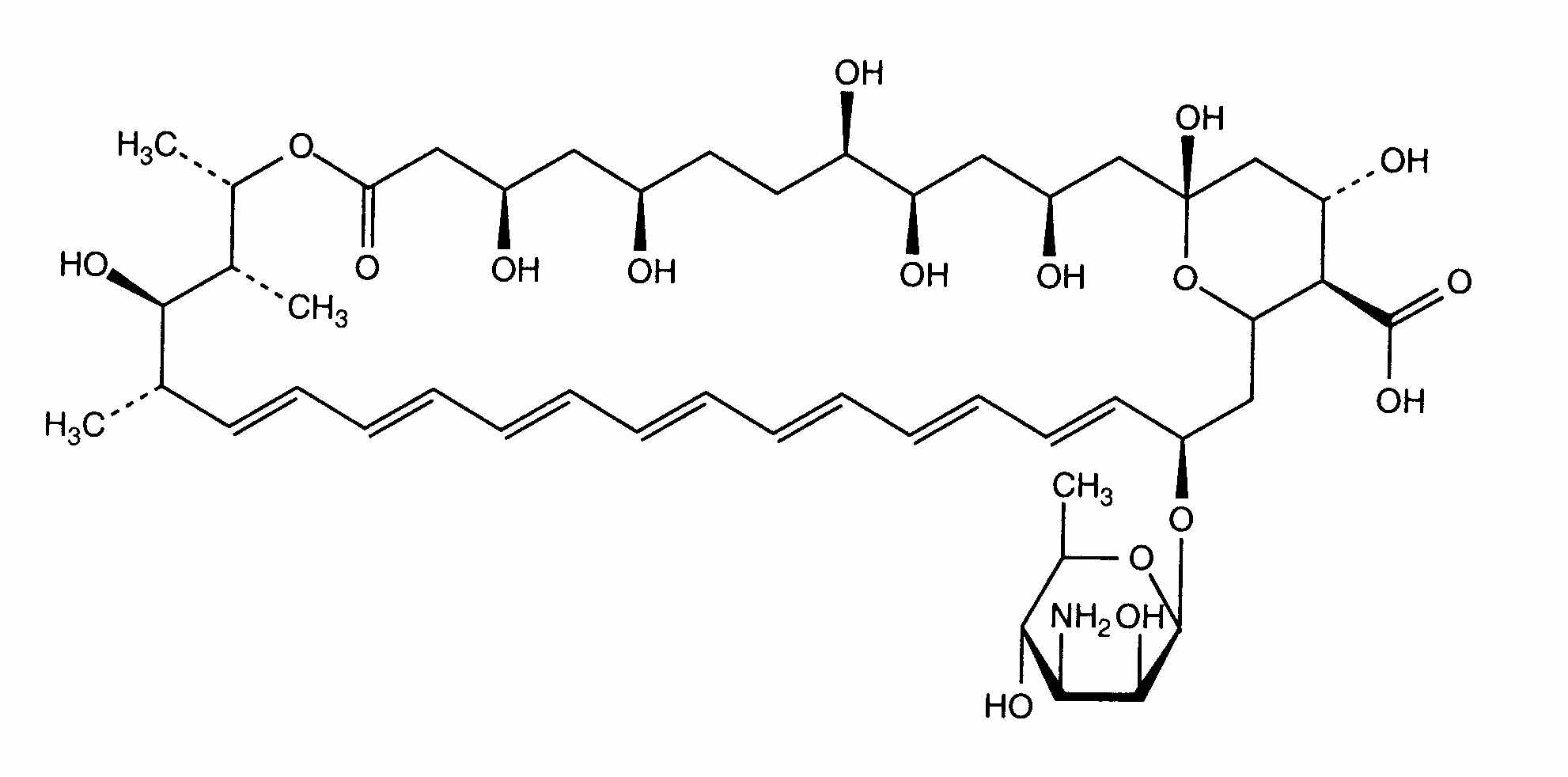
Lipozom   Kimyasal yapı   

Göz damlası
Uyumluluk   Göz damlası   Uyumluluk : Amphotericin B liposomale              
veri yok

  Mentions Légales