Последнее обновление :
18/03/2026
Противогрибковое средство   Amphotericin B liposomale  
Глазные капли
Инъекция
Стабильность фармацевтических препаратов Стабильность смесей Факторы, которые влияют на стабильность Совместимость Библиография pdf
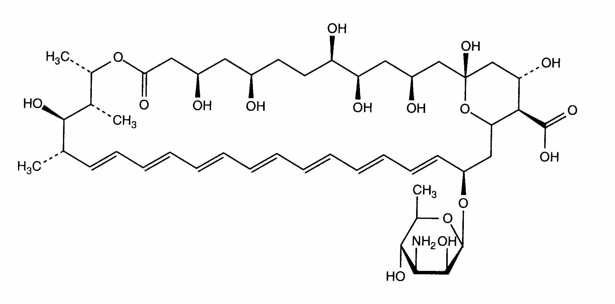
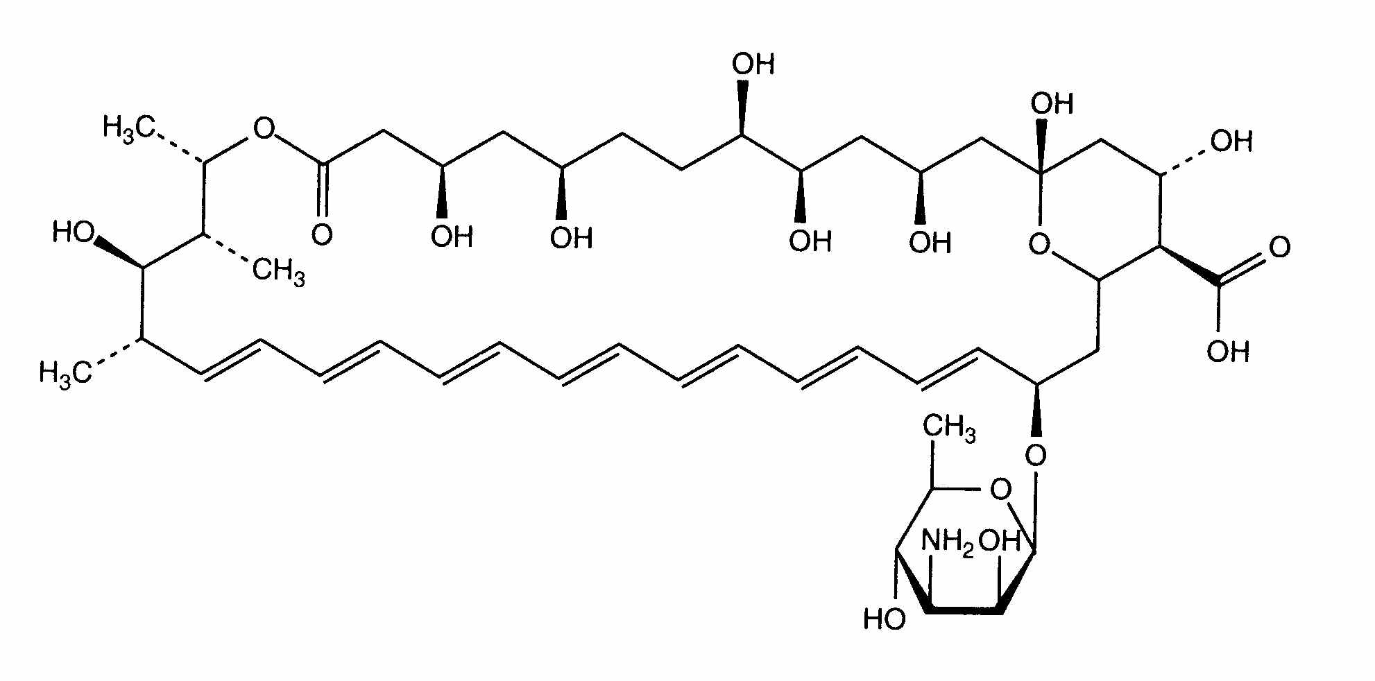
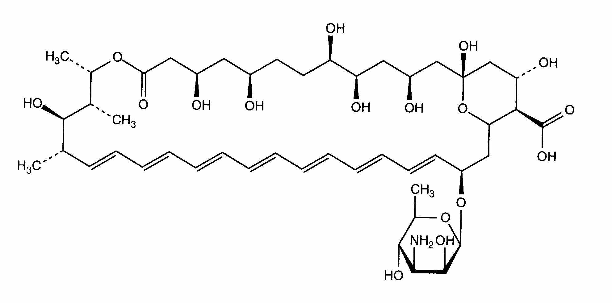
Липосома   Химическая структура  

Глазные капли
Совместимость   Глазные капли   Совместимость : Amphotericin B liposomale              
данных нет

  Mentions Légales