Siste oppdatering :
18/03/2026
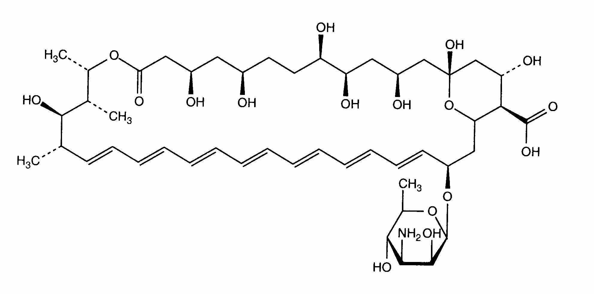
Fungicid   Amphotericin B liposomale  
Øyedråper
Injeksjon
Stabilitet av farmasøytiske preparater Stabilitet i blandinger Faktorer som påvirker stabiliteten Kompatibilitet Referanser pdf
Liposom   Kjemisk struktur  

Øyedråper
Kompatibilitet   Øyedråper   Kompatibilitet : Amphotericin B liposomale              
Ingen opplysninger

  Mentions Légales