Zadnji put ažurirano :
18/03/2026
antifungicid   Amphotericin B liposomale  
kapi za oko
injekcija
Stabilnost farmaceutskih pripravaka Stabilnost mješavine Stabilizacijski faktor Kompatibilnosti Bibliografija pdf
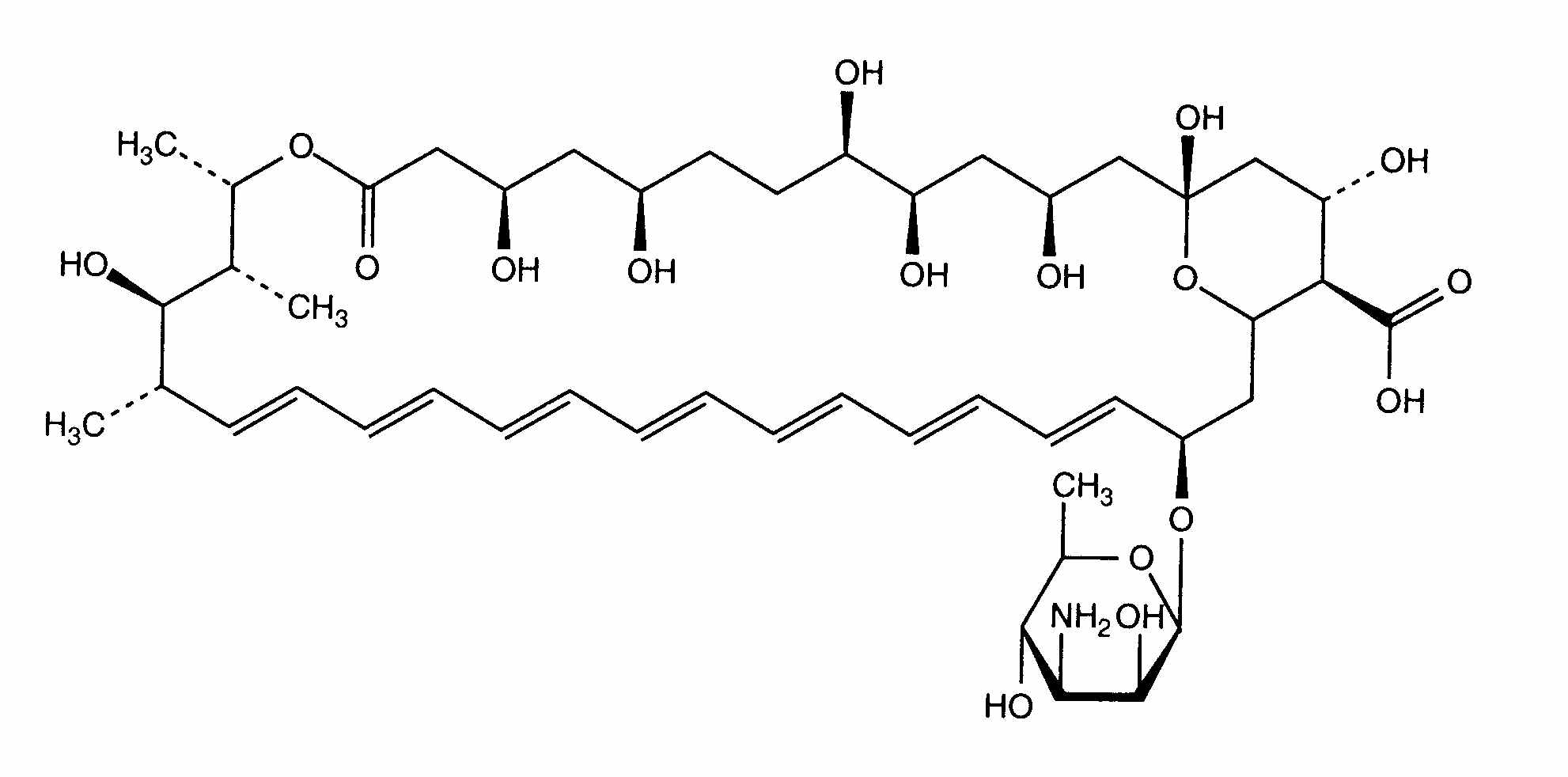
liposomi   Kemijska struktura  

kapi za oko
Kompatibilnosti   kapi za oko   Kompatibilnosti : Amphotericin B liposomale              
bez podataka

  Mentions Légales