Utolsó frissítés :
18/03/2026
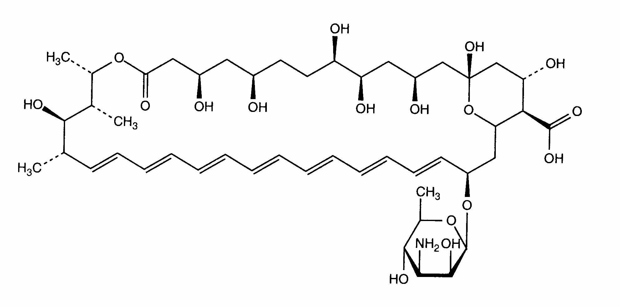
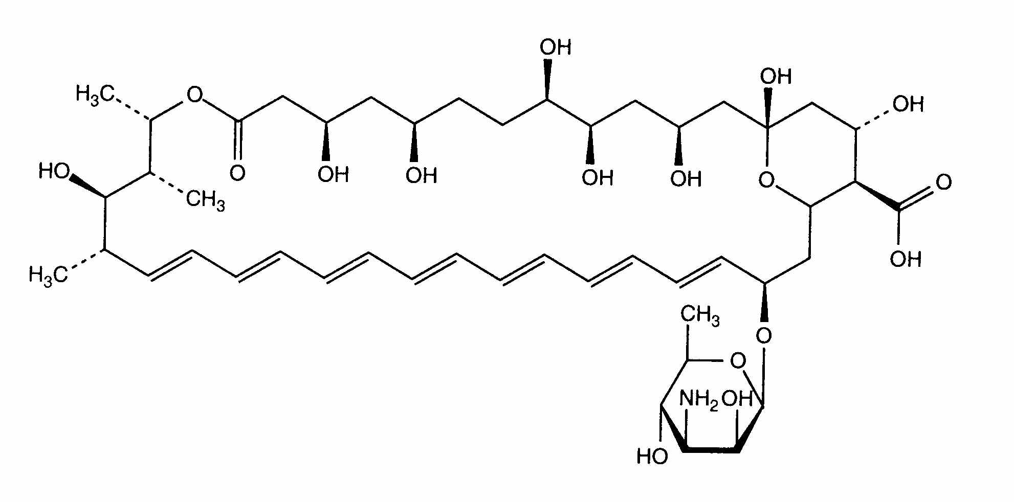
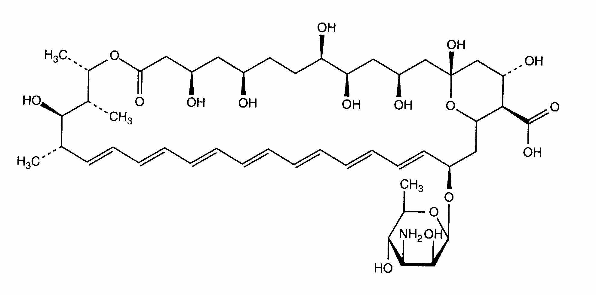
Gombaellenes szer   Amphotericin B liposomale  
Szemcsepp
Injekció
Stabilitása gyógyszerészeti készítmények A keverékek stabilitása Stabilitást befolyásoló tényezők Kompatibilitás Irodalom pdf
Liposzóma   Kémiai szerkezet   

Szemcsepp
Kompatibilitás   Szemcsepp   Kompatibilitás : Amphotericin B liposomale              
Hiányzó adat

  Mentions Légales