viimane versioon :
18/03/2026
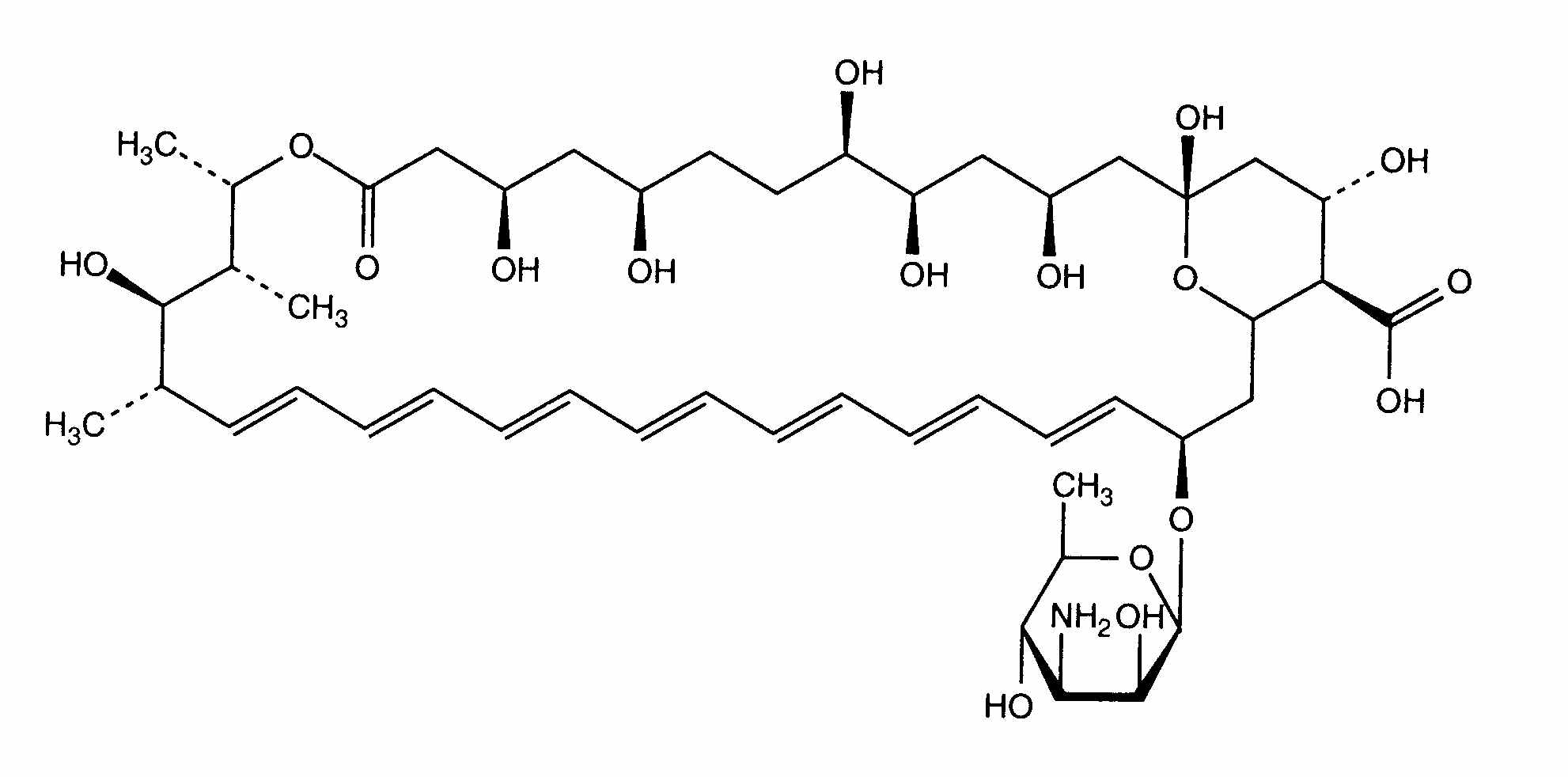
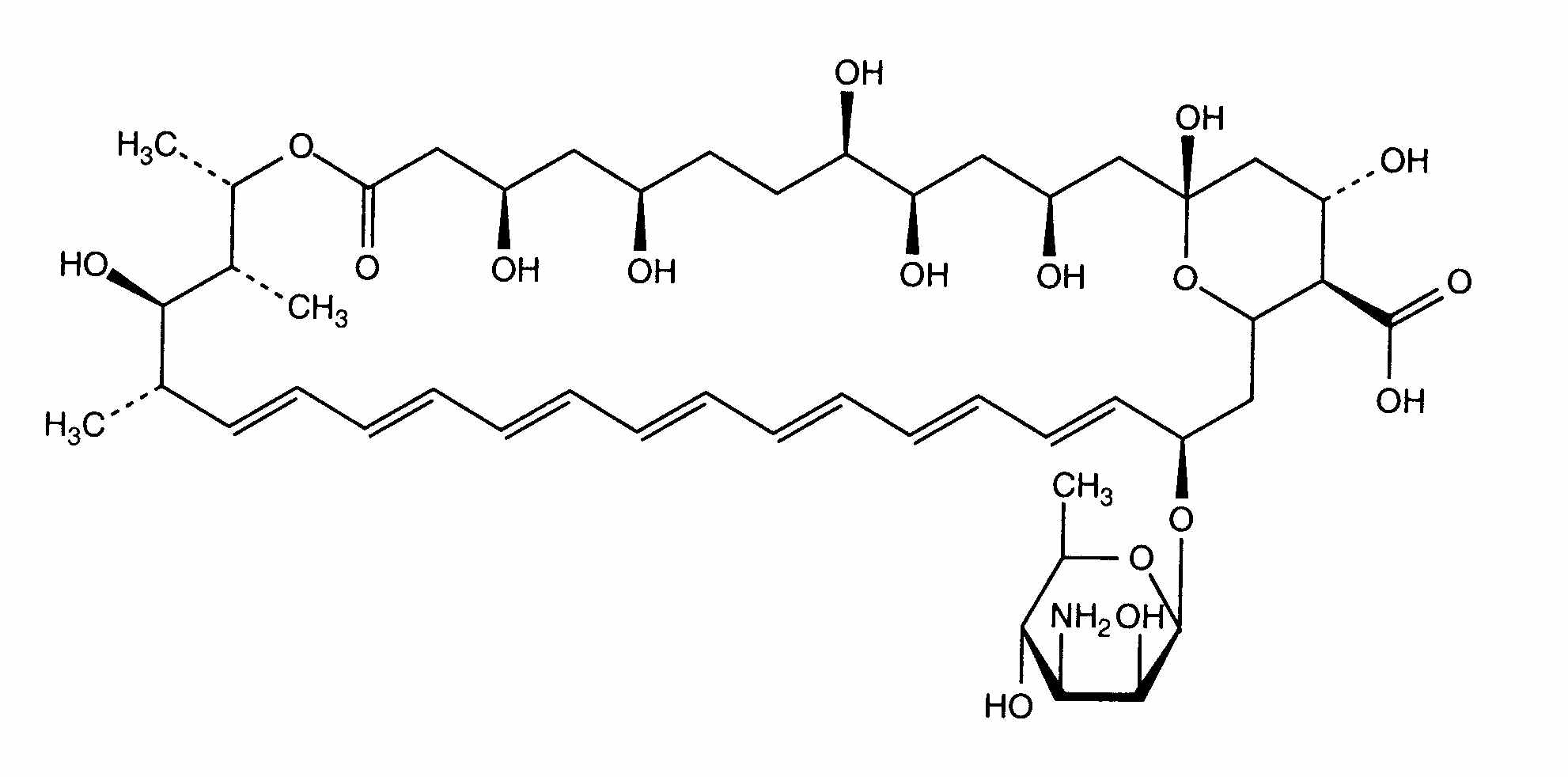
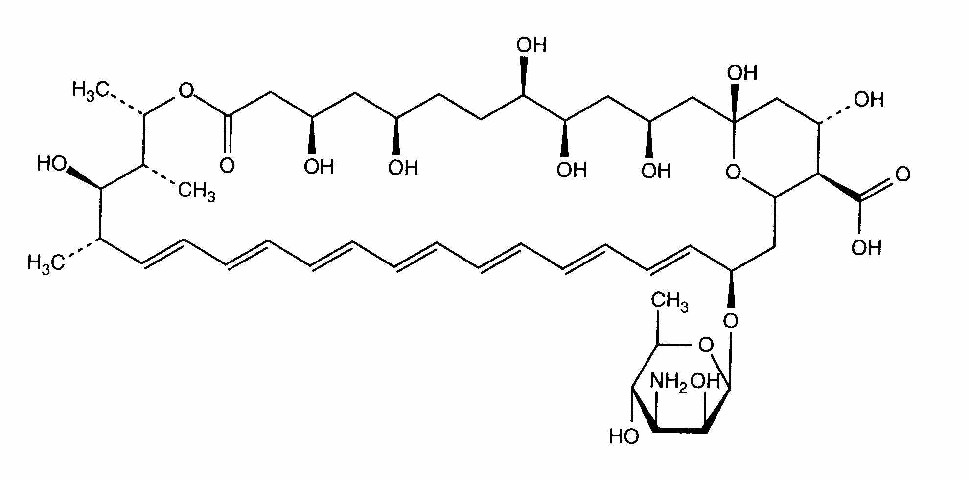
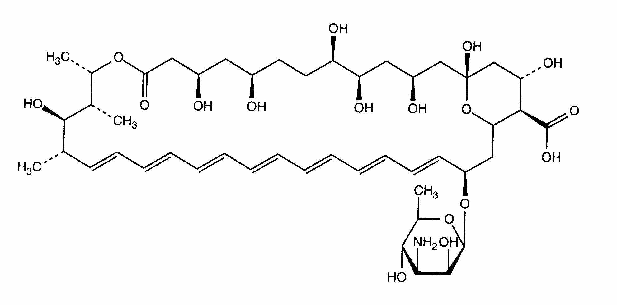
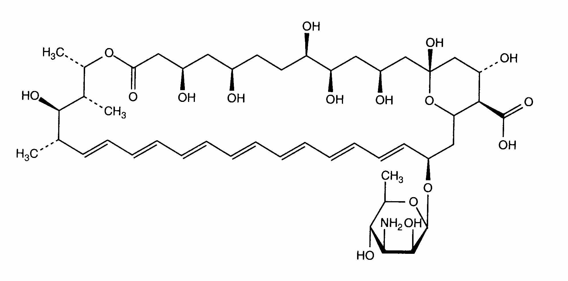
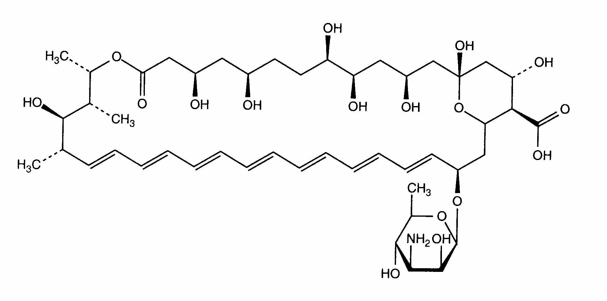
Seenevastane ravim   Amphotericin B liposomale  
Silmatilgad
Süsteravim
Stabiilsust ravimpreparaadid Stabiilsust mõjutavad tegurid stabiilsust mõjutavad faktorid Sobimatus Viited pdf
liposoom   keemiline struktuur  

Silmatilgad
Sobimatus   Silmatilgad   Sobimatus : Amphotericin B liposomale              
andmed puuduvad

  Mentions Légales