Τελευταία ενημέρωση :
18/03/2026
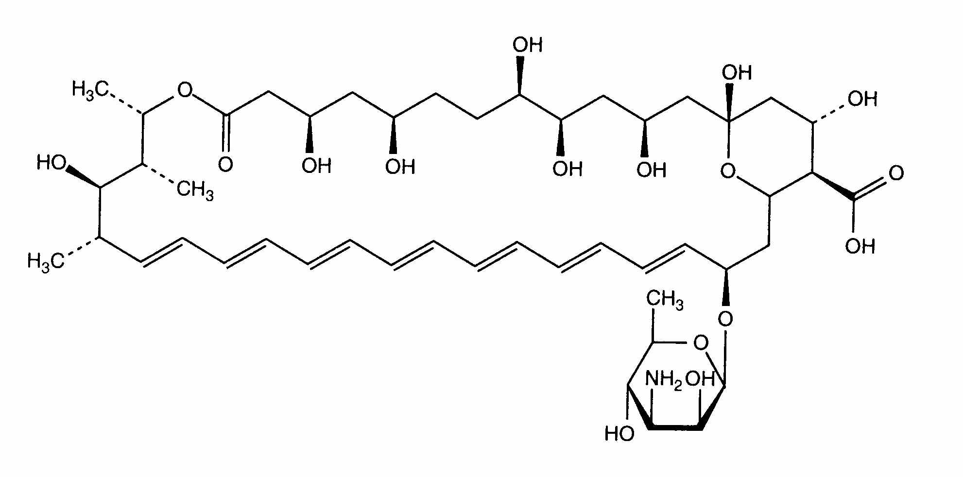
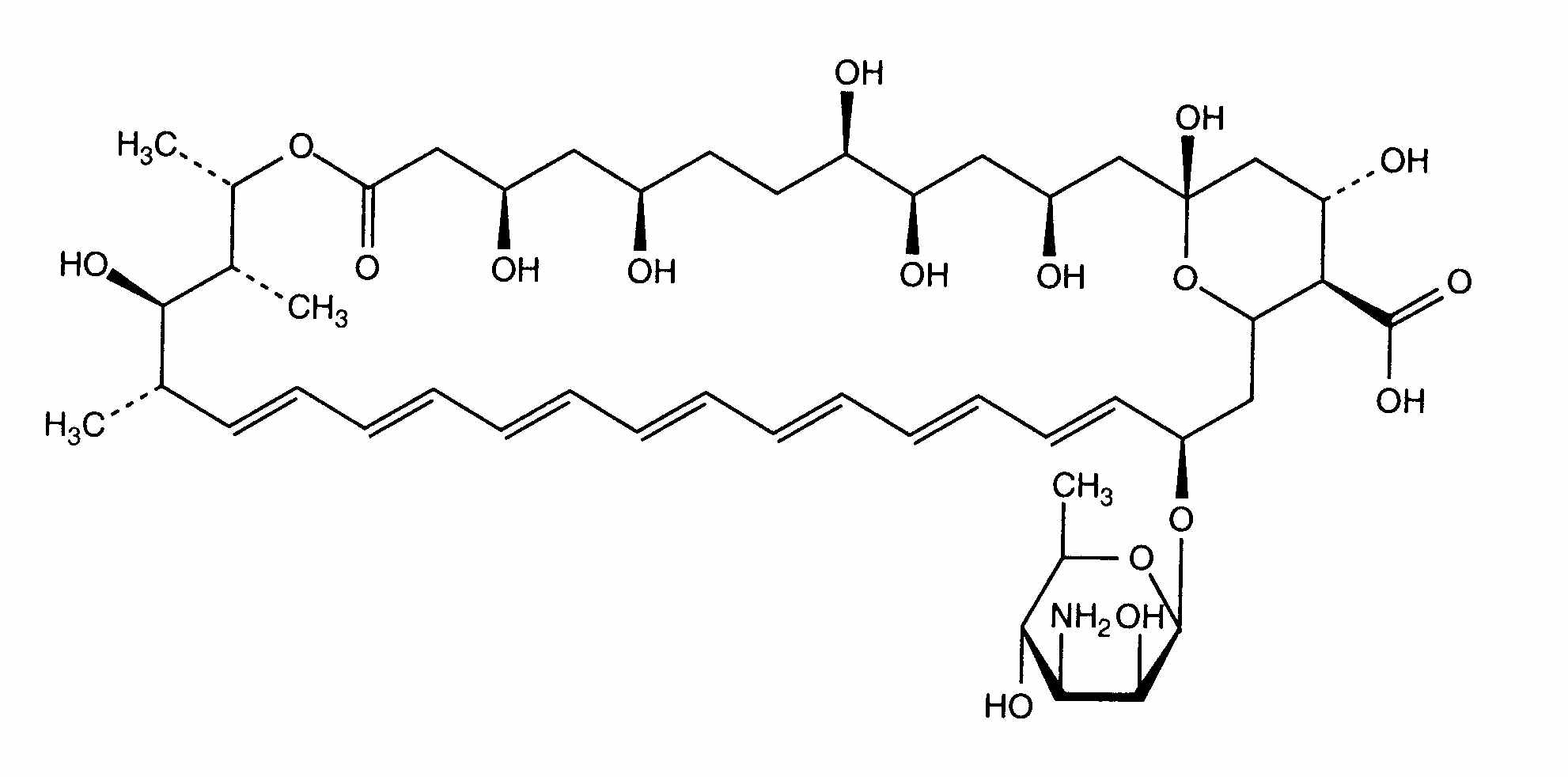
Αντιμυκητικό   Amphotericin B liposomale  
Οφθαλμικές σταγόνες
Ενέσιμο
Σταθερότητα και συμβατότητα των φαρμάκων Σταθερότητα σε μίγματα Παράγοντας που επηρεάζει τη σταθερότητα Συμβατότητες Βιβλιογραφία pdf
Λιπόσωμα   χημική δομή  

Οφθαλμικές σταγόνες
Συμβατότητες    Οφθαλμικές σταγόνες   Συμβατότητες : Amphotericin B liposomale              
Δεν υπάρχουν πληροφορίες

  Mentions Légales