Poslední aktualizace :
18/03/2026
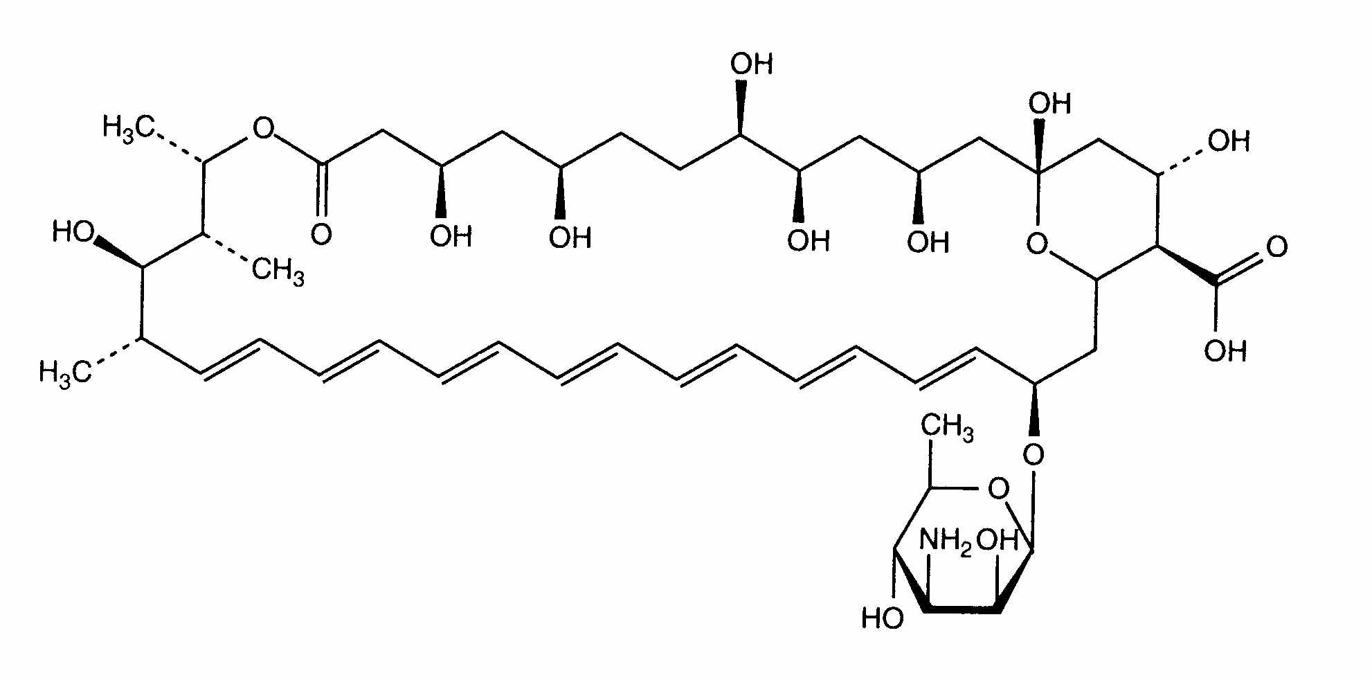
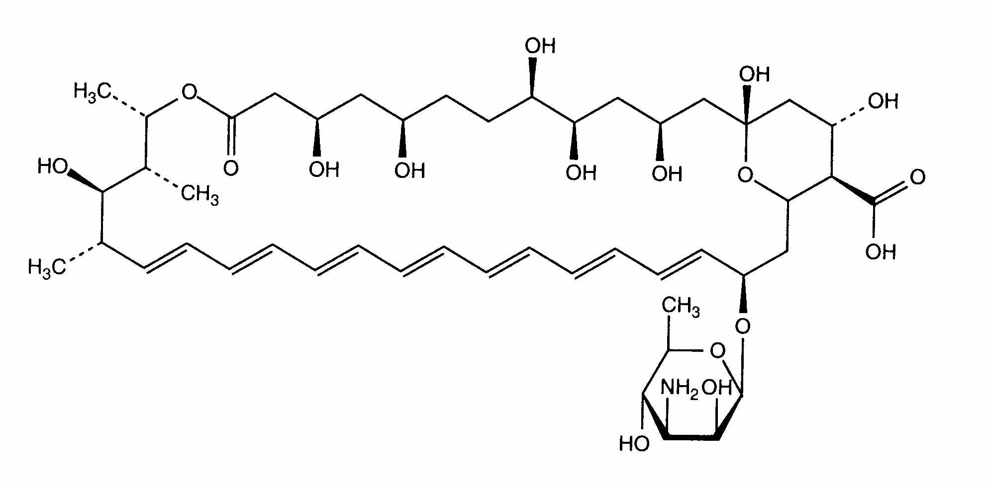
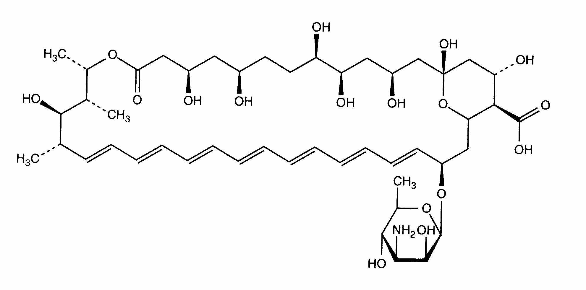
Protiplísňový přípravek   Amphotericin B liposomale  
Humbuk
injekce
Stabilita farmaceutických přípravků Stabilita směsí Faktory ovlivňující stabilitu Kompatibilita Odkazy pdf
Lipozom   Chemický vzorec  

Humbuk
Kompatibilita   Humbuk   Kompatibilita : Amphotericin B liposomale              
žádná data

  Mentions Légales