Ultimo aggiornamento :
18/03/2026
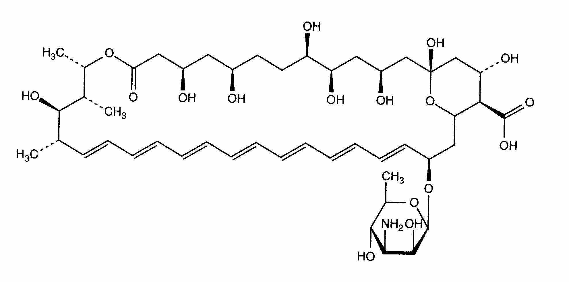
Antimicotico   Amphotericin B liposomale  
Collirio
Iniezione
Stabilità dei preparati farmaceutici Stabilità in miscela Fattori che influenzano la stabilità Compatibilità Bibliografia pdf
Liposoma   Struttura chimica  

Collirio
Compatibilità   Collirio   Compatibilità : Amphotericin B liposomale              
Assenza di dati

  Mentions Légales