Son güncelleme :
31/03/2026
Antibiyotik   Tobramycin sulfate  
Aerosol
Enjeksiyon Göz damlası Oral solüsyon / oral çözelti
Farmasötik preparatlar Kararlılığı Karışımlardaki stabilitesi Stabiliteyi etkileyen faktörler Uyumluluk Kaynaklar pdf
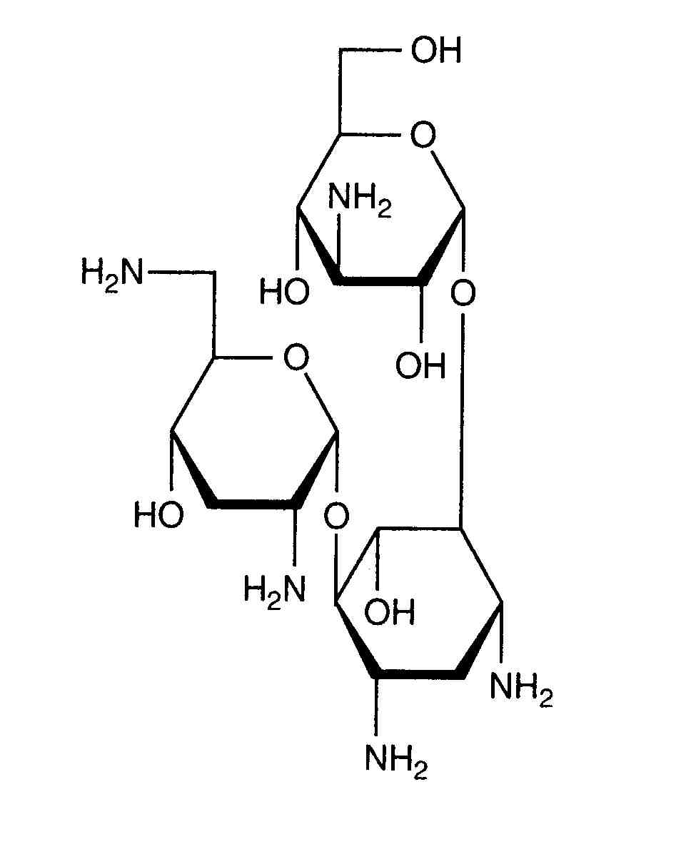
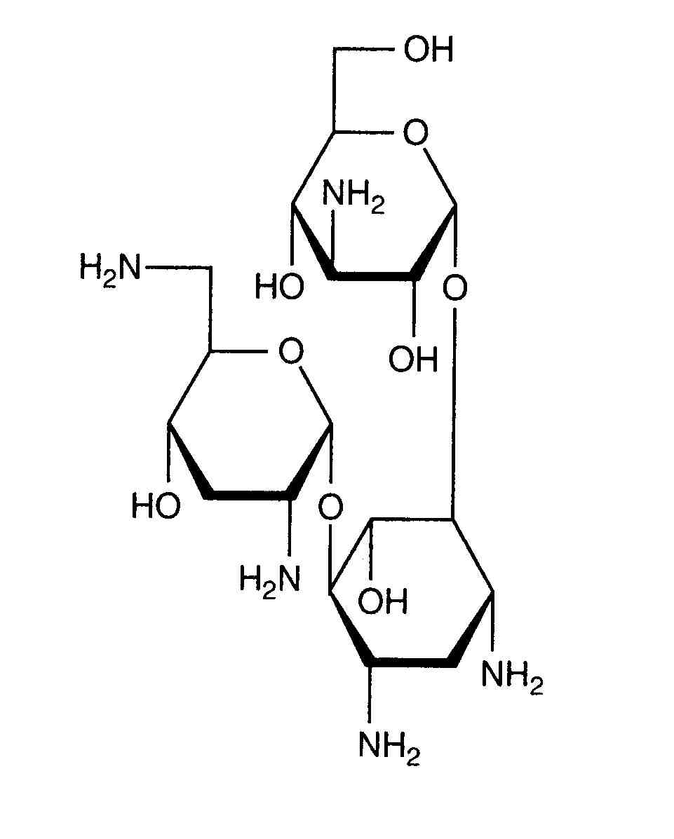
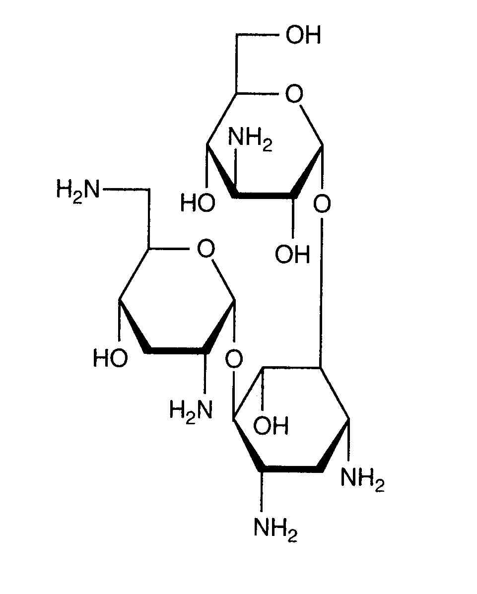
   Kimyasal yapı   

Aerosol
Karışımlardaki stabilitesi   Aerosol   Karışımlardaki stabilitesi : Tobramycin sulfate     
Saklama kabı yardımcı madde Bileşik Isı Saklama    Stabilite süresi Kaynaklar
Cam
% 0.9 NaCl 2 ml
Aerosol   Tobramycin sulfate Enjeksiyon için ilaç şişesi40 mg=1   ® = ?
Aerosol   Salbutamol sulfate Enjeksiyon için ilaç şişesi2,5 mg=0  ® = ?
4°C
7 Gün
Belirtilmemiş 2960
Polipropilen
Aerosol   Tobramycin sulfate Enjeksiyon için ilaç şişesi30mg/4 mL  Bramitob® (Asche Chiesi)
Aerosol   Colistin mesilate sodium Enjeksiyon için ilaç şişesi80mg/3mL  Colistin CF®
25°C
24 Zaman
I_ık 3440
Polipropilen
Aerosol   Tobramycin sulfate Enjeksiyon için ilaç şişesi300mg/5mL  Tobi® (Novartis)
Aerosol   Colistin mesilate sodium Enjeksiyon için ilaç şişesi80mg/3mL  Colistin CF®
25°C
24 Zaman
I_ık 3440
Polipropilen
Aerosol   Tobramycin sulfate Enjeksiyon için ilaç şişesi300mg/4mL  Bramitob® (Asche Chiesi)
Aerosol   Colistin mesilate sodium Enjeksiyon için ilaç şişesi80mg/3mL  Colistin CF®
25°C
24 Zaman
I_ık 3440

  Mentions Légales