Última actualização :
31/03/2026
antibiótico   Tobramycin sulfate  
aerossol
injetável solução oftálmica Solução Oral
Estabilidade de preparações farmacêuticas Estabilidade em misturas Factores que afectam a sua estabilidade Compatibilidade Bibliografía pdf
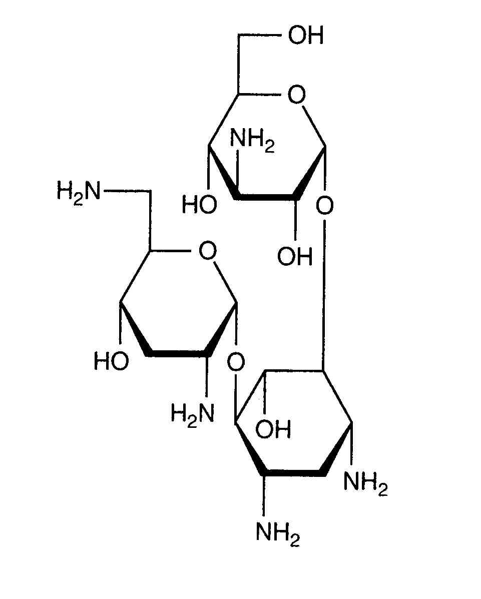
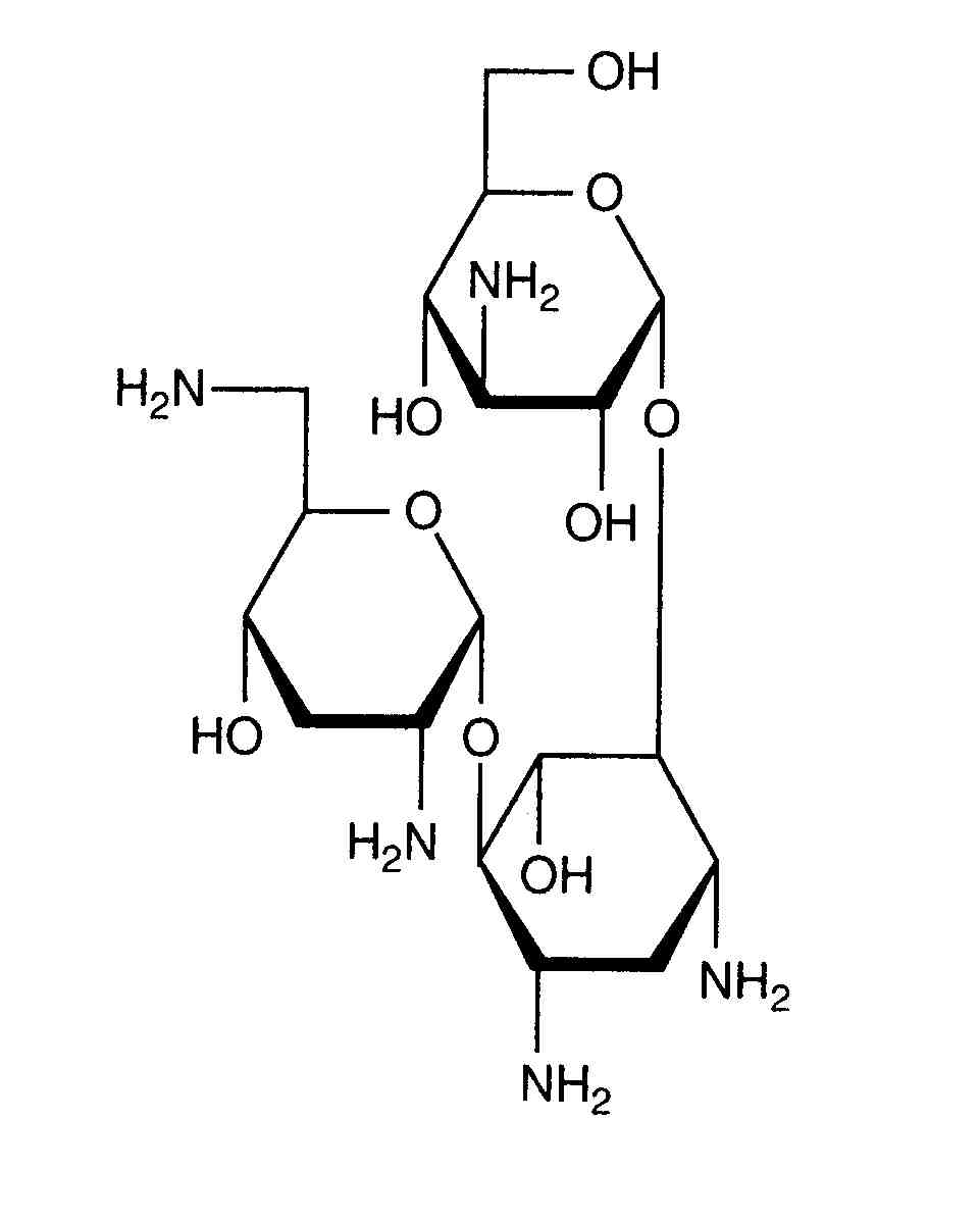
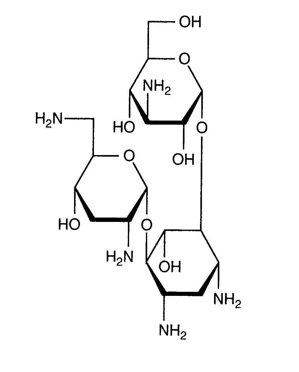
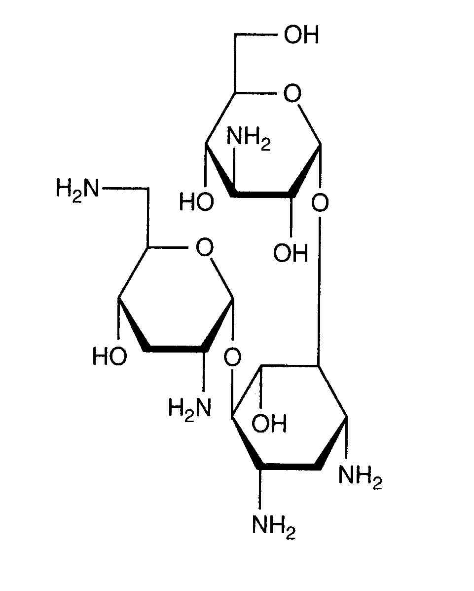
   estrutura química  

aerossol
Estabilidade em misturas   aerossol   Estabilidade em misturas : Tobramycin sulfate     
Embalagem excipiente molécula temperatura conservação Duração da estabilidade Bibliografia
vidro
NaCl 0.9% 2 ml
aerossol   Tobramycin sulfate frasco de medicamento para injeção40 mg=1   ® = ?
aerossol   Salbutamol sulfate frasco de medicamento para injeção2,5 mg=0  ® = ?
4°C
7 dia
no especificado 2960
Polipropileno
aerossol   Tobramycin sulfate frasco de medicamento para injeção30mg/4 mL  Bramitob® (Asche Chiesi)
aerossol   Colistin mesilate sodium frasco de medicamento para injeção80mg/3mL  Colistin CF®
25°C
24 hora
luz 3440
Polipropileno
aerossol   Tobramycin sulfate frasco de medicamento para injeção300mg/5mL  Tobi® (Novartis)
aerossol   Colistin mesilate sodium frasco de medicamento para injeção80mg/3mL  Colistin CF®
25°C
24 hora
luz 3440
Polipropileno
aerossol   Tobramycin sulfate frasco de medicamento para injeção300mg/4mL  Bramitob® (Asche Chiesi)
aerossol   Colistin mesilate sodium frasco de medicamento para injeção80mg/3mL  Colistin CF®
25°C
24 hora
luz 3440

  Mentions Légales