最新更新 :
31/03/2026
抗菌薬   Tobramycin sulfate  
エアロゾル
注射薬 点眼薬 経口液
調剤時の安定性 混合時の安定性 安定性に影響する因子 互換性 引用文献 PDF
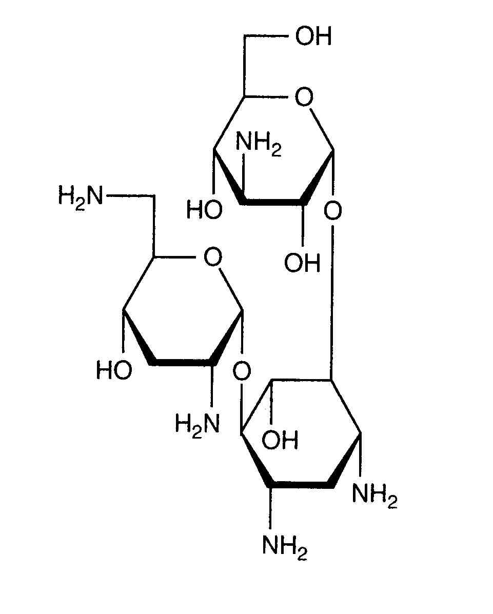
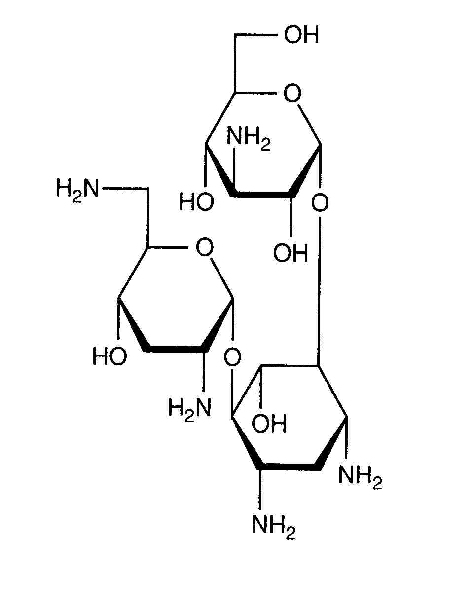
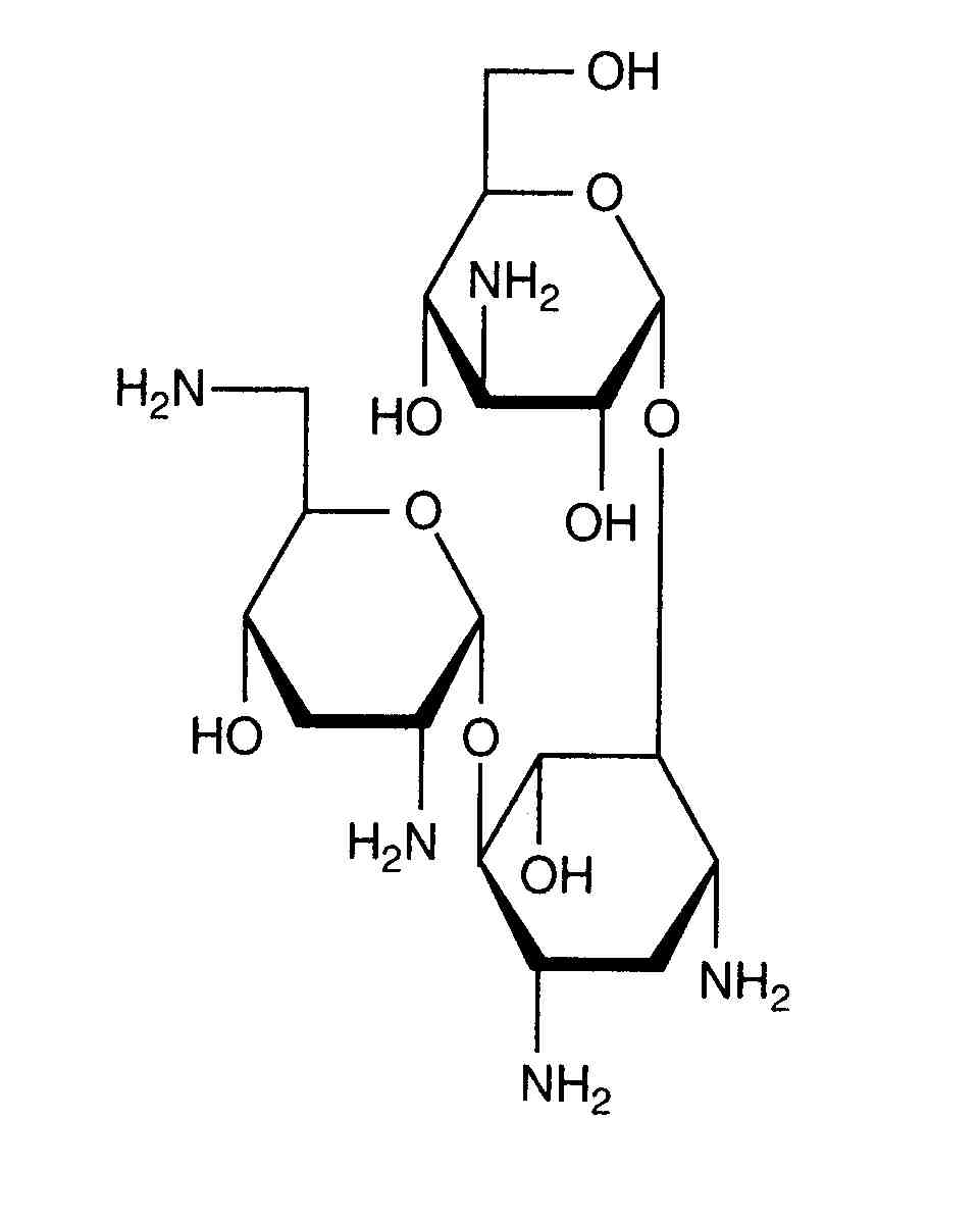
   化学構造  

エアロゾル
混合時の安定性   エアロゾル   混合時の安定性 : Tobramycin sulfate     
容器 添加剤 化合物 温度 保管 安定期間 引用文献
ガラス
NaCl 0.9% 2 ml
エアロゾル   Tobramycin sulfate 注射用瓶40 mg=1   ® = ?
エアロゾル   Salbutamol sulfate 注射用瓶2,5 mg=0  ® = ?
4°C
7 日
特記なし 2960
ポリプロピレン
エアロゾル   Tobramycin sulfate 注射用瓶30mg/4 mL  Bramitob® (Asche Chiesi)
エアロゾル   Colistin mesilate sodium 注射用瓶80mg/3mL  Colistin CF®
25°C
24 時間
光 3440
ポリプロピレン
エアロゾル   Tobramycin sulfate 注射用瓶300mg/5mL  Tobi® (Novartis)
エアロゾル   Colistin mesilate sodium 注射用瓶80mg/3mL  Colistin CF®
25°C
24 時間
光 3440
ポリプロピレン
エアロゾル   Tobramycin sulfate 注射用瓶300mg/4mL  Bramitob® (Asche Chiesi)
エアロゾル   Colistin mesilate sodium 注射用瓶80mg/3mL  Colistin CF®
25°C
24 時間
光 3440

  Mentions Légales