Senaste uppdateringen :
31/03/2026
Antibiotikum   Tobramycin sulfate  
Aerosol
injektion ögondroppar Oral lösning
Stabilitet av läkemedel Stabilitet i blandningar Faktorer som påverkar stabiliteten Kompatibilitet Hänvisningar pdf
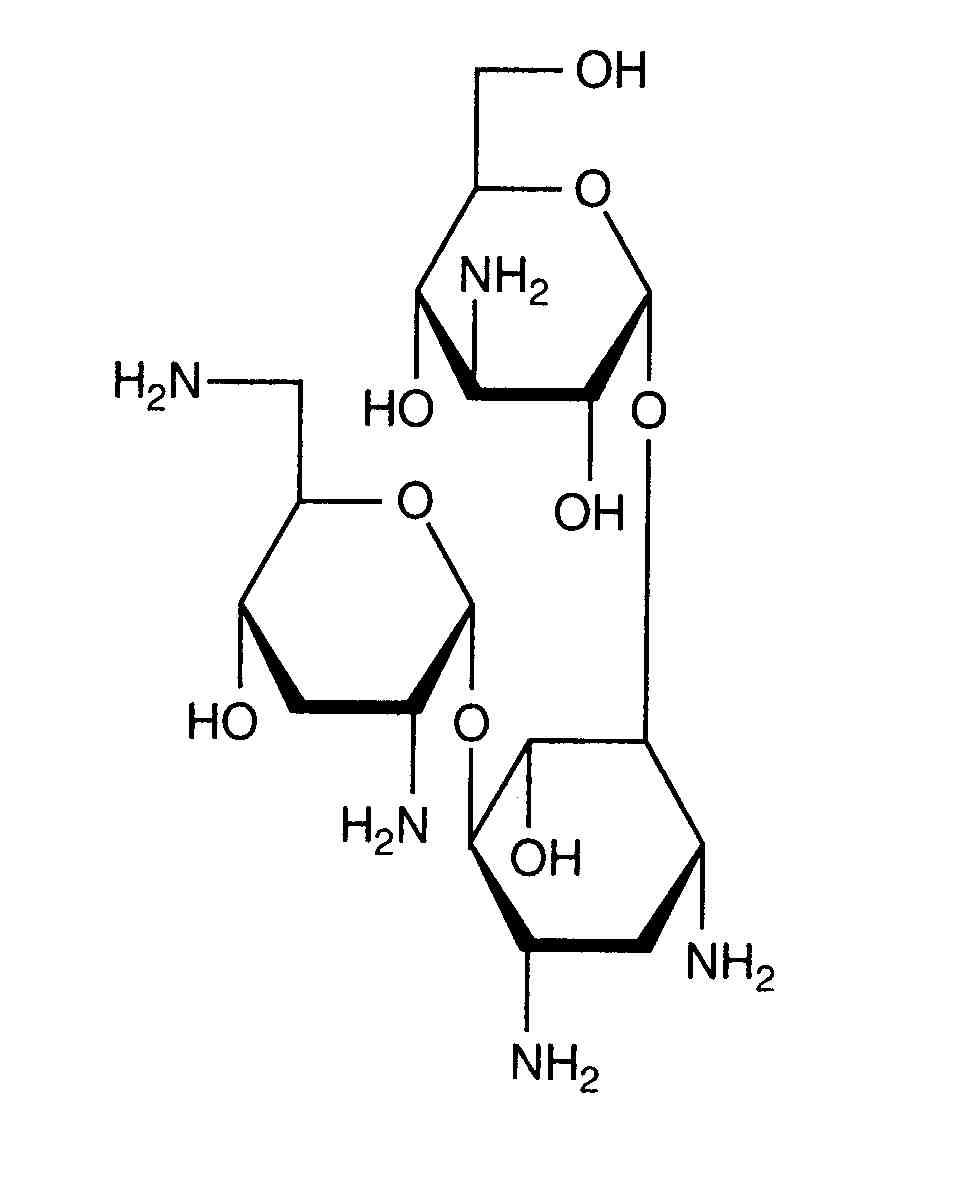
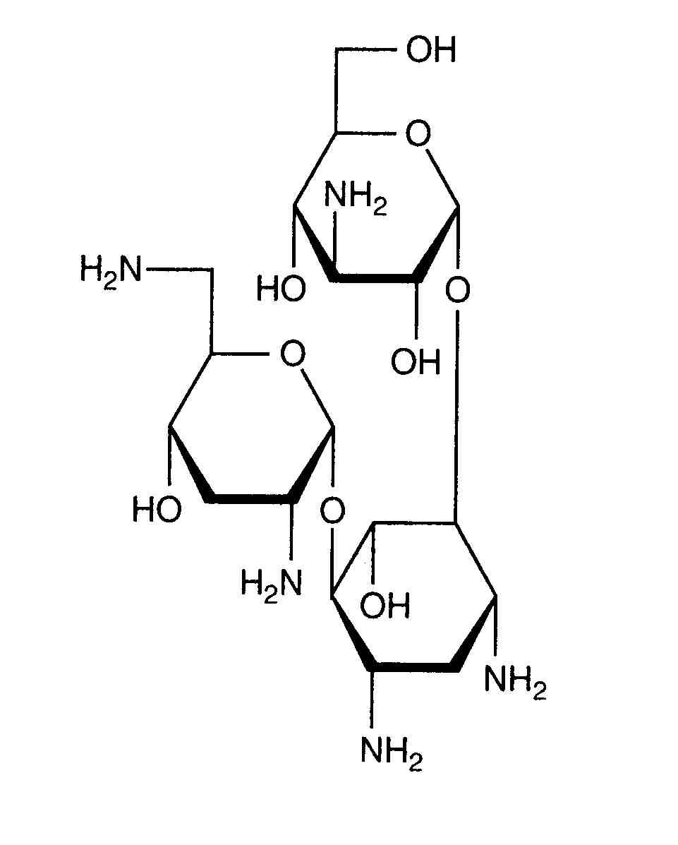
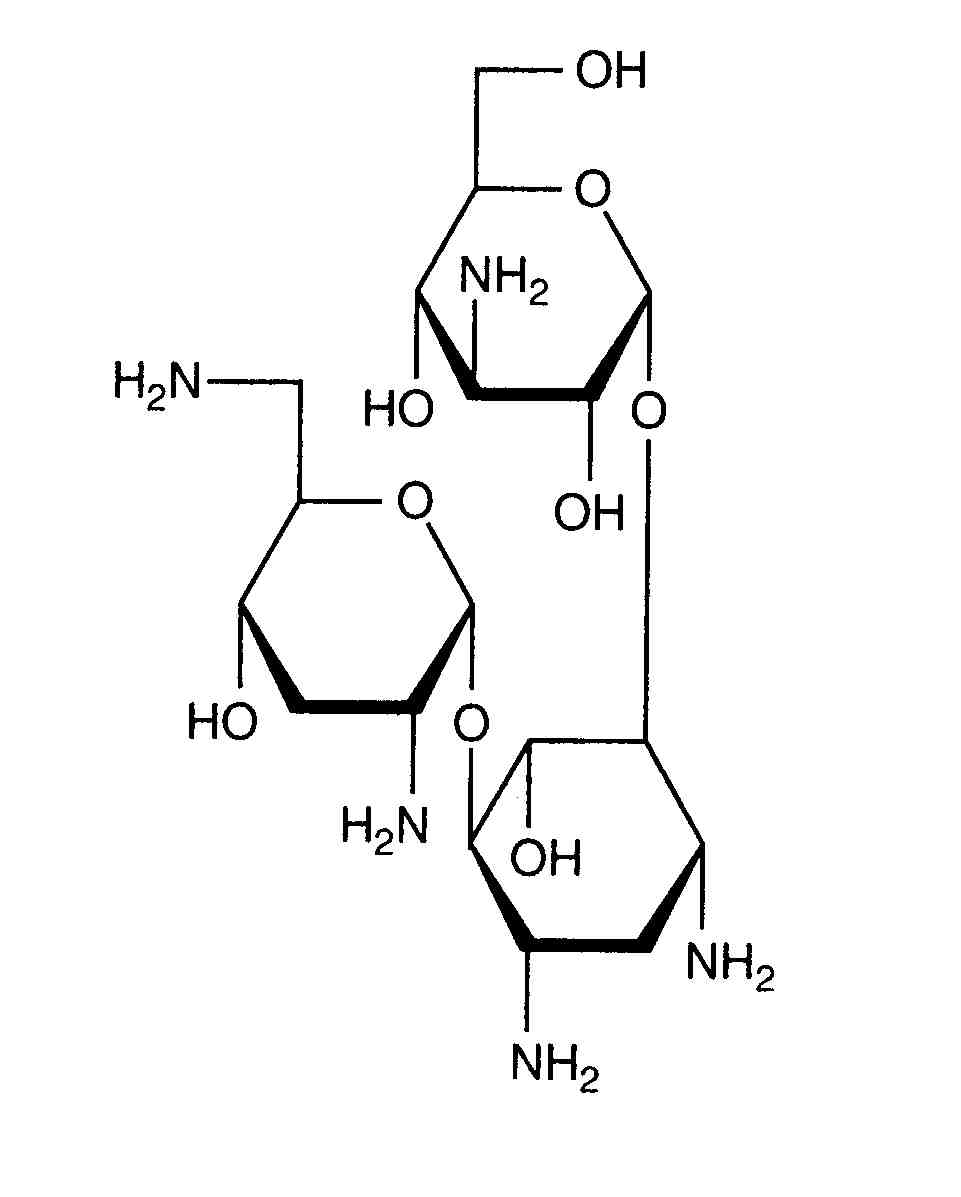
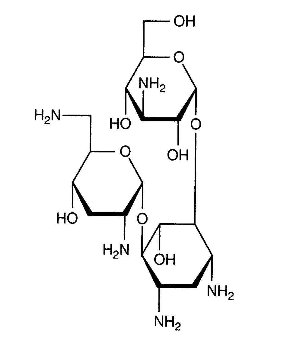
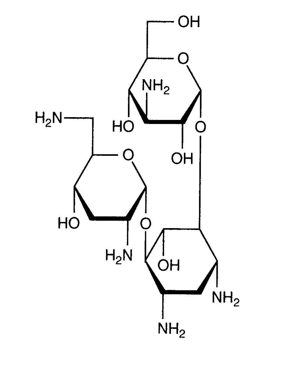
   Molekylstruktur  

Aerosol
Stabilitet i blandningar   Aerosol   Stabilitet i blandningar : Tobramycin sulfate     
Behållare Hjälpämne Substans Temperatur Förvaring Stabilitets varaktighet Hänvisningar
Glas
Isoton koksaltlösning 2 ml
Aerosol   Tobramycin sulfate injektionsflaska40 mg=1   ® = ?
Aerosol   Salbutamol sulfate injektionsflaska2,5 mg=0  ® = ?
4°C
7 Dag
Ej angiven 2960
Polypropylen
Aerosol   Tobramycin sulfate injektionsflaska30mg/4 mL  Bramitob® (Asche Chiesi)
Aerosol   Colistin mesilate sodium injektionsflaska80mg/3mL  Colistin CF®
25°C
24 Timma
Ljus 3440
Polypropylen
Aerosol   Tobramycin sulfate injektionsflaska300mg/5mL  Tobi® (Novartis)
Aerosol   Colistin mesilate sodium injektionsflaska80mg/3mL  Colistin CF®
25°C
24 Timma
Ljus 3440
Polypropylen
Aerosol   Tobramycin sulfate injektionsflaska300mg/4mL  Bramitob® (Asche Chiesi)
Aerosol   Colistin mesilate sodium injektionsflaska80mg/3mL  Colistin CF®
25°C
24 Timma
Ljus 3440

  Mentions Légales