Viimeisin päivitys :
31/03/2026
Antibiootit   Tobramycin sulfate  
Aerosoli
Injektioneste Oraaliliuos Silmätipat
Vakaus lääkevalmisteen Stabilius seoksissa Tekijät, jotka vaikuttavat stabiliuteen Yhteensopivuus Viitteet pdf
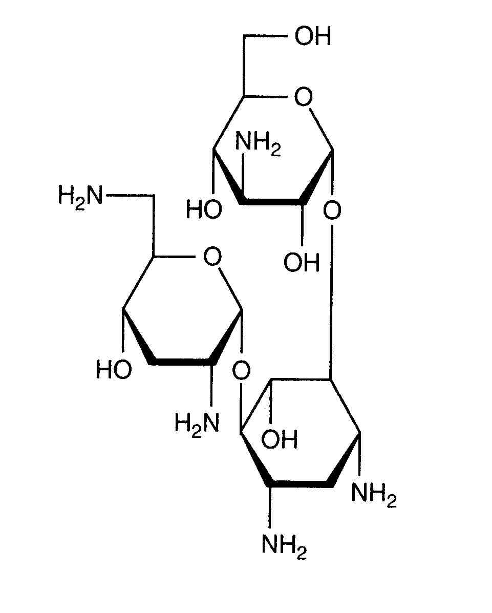
   Kemiallinen rakenne  

Aerosoli
Stabilius seoksissa   Aerosoli   Stabilius seoksissa : Tobramycin sulfate     
Astia Apuaine Yhdiste Lämpötila Säilytys Vakauden kesto Viitteet
Lasi
NaCl 0,9 % 2 ml
Aerosoli   Tobramycin sulfate Injektionestepullo40 mg=1   ® = ?
Aerosoli   Salbutamol sulfate Injektionestepullo2,5 mg=0  ® = ?
4°C
7 Päivä
Ei määritetty 2960
Polypropyleeni
Aerosoli   Tobramycin sulfate Injektionestepullo30mg/4 mL  Bramitob® (Asche Chiesi)
Aerosoli   Colistin mesilate sodium Injektionestepullo80mg/3mL  Colistin CF®
25°C
24 tunti
Valo 3440
Polypropyleeni
Aerosoli   Tobramycin sulfate Injektionestepullo300mg/5mL  Tobi® (Novartis)
Aerosoli   Colistin mesilate sodium Injektionestepullo80mg/3mL  Colistin CF®
25°C
24 tunti
Valo 3440
Polypropyleeni
Aerosoli   Tobramycin sulfate Injektionestepullo300mg/4mL  Bramitob® (Asche Chiesi)
Aerosoli   Colistin mesilate sodium Injektionestepullo80mg/3mL  Colistin CF®
25°C
24 tunti
Valo 3440

  Mentions Légales